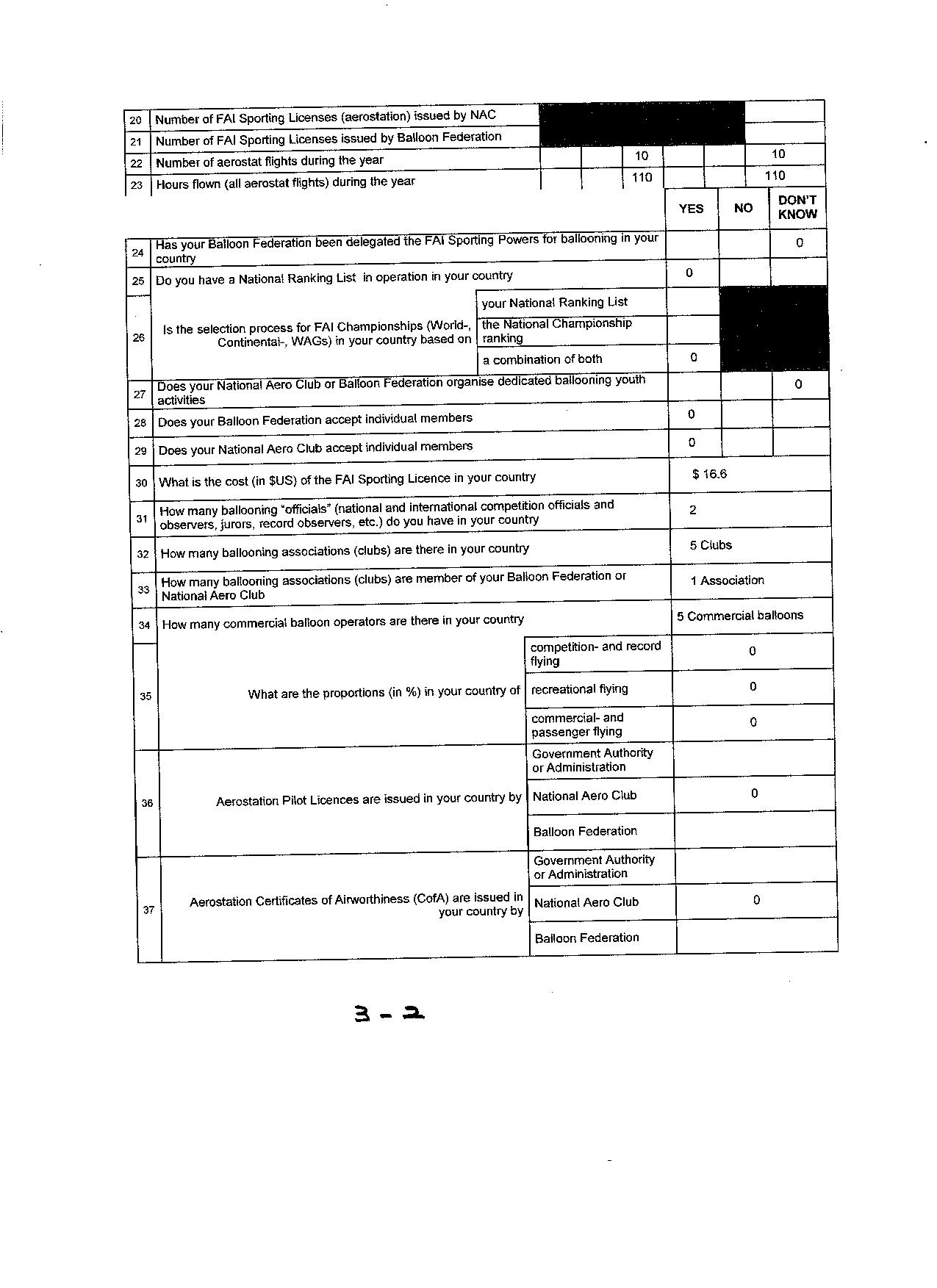
FAI Ballooning Commission (CIA) Open menu Close menu HomeOverview OrganisationBureau Presidents of Honour Delegates Subcommittees and Working Groups Officials/Experts Meetings CIA public mailing list About usOverview OrganisationBureau Presidents of Honour Delegates Subcommittees and Working Groups Officials/Experts Meetings CIA public mailing list Our SportOverview Hot Air Airships Hot Air Balloons Gas Balloons Coupe Aeronautique Gordon Bennett Hall of FameOverview Inducted Members Nominations Anderson Abruzzo International Balloon Museum Foundation Sporting BadgesGold Badges Gold Badges with 1 Diamond Gold Badges with 2 Diamonds Gold Badges with 3 Diamonds Silver badges Certificate of Appreciation Notable Flights Around the World Flights Balloon Competition Loggers EventsCIA Events Event applications Champions Rankings Records Awards News Contact us Documents Results Documents CIA Documents Bureau decisions 23 Jun 2025 cia_bureau_decisions_2025.pdf(1178 KB) 12 Jan 2025 cia_bureau_decisions_2024.pdf(263 KB) 14 Mar 2024 cia_bureau_decisions_2023.pdf(232 KB) 02 Dec 2022 cia_bureau_decisions_2022.pdf(260 KB) 26 Jan 2022 cia_bureau_decisions_2021.pdf(231 KB) 08 Oct 2020 CIA Bureau Decisions 2020(395 KB) 19 Apr 2020 CIA Bureau decisions 2019(396 KB) CIA Plenary Meetings and Minutes 13 Apr 2018 CIA Plenary Meeting History from 1969 to 2018 - By Hans Åkerstedt(1501 KB) 2026 Alula, (KSA), 04-07 February 2026 07 Nov 2025 2026 CIA Plenary Meeting Invitation(135 KB) 07 Nov 2025 2026 CIA Plenary Meeting_Proxy form(146 KB) 07 Nov 2025 Award Nomination_CIA(173 KB) 07 Nov 2025 2026 Hall of Fame Nomination form (106 KB) 07 Nov 2025 2025 CIA Newsletter (includes Plenary Meeting Programme)(5698 KB) 2025 New Delhi (IND), 14-15 March 2025 30 Jan 2025 2025 CIA Plenary Meeting_Invitation(53 KB) 16 Dec 2024 2025 CIA Plenary Meeting_Programme(231 KB) 06 Feb 2025 2025_cia_plenary_agenda.pdf(1169 KB) 16 Dec 2024 2025 CIA Plenary Meeting_Proxy form(146 KB) 16 Dec 2024 2025 CIA Plenary Meeting_Award nomination form(173 KB) Meeting Minutes and Annexes 25 Jul 2025 2025 CIA Plenary Meeting Minutes(741 KB) 03 Jul 2025 Attachment 1 CIA Cloud Guidelines - March 2025 - Final(281 KB) 03 Jul 2025 Attachment 2 2025-FAI-SecGen-report-for-plenaries-post-GC-2024(5281 KB) 03 Jul 2025 Attachment 3 Delegates reports(525 KB) 03 Jul 2025 Attachment 4 SC_WG chairs meeting Minutes 2025(129 KB) 03 Jul 2025 Attachment 5 JB Report CIA Plenary 2025(292 KB) 03 Jul 2025 Attachment 6 CIA JB Motions CIA Plenary 25-03-12_(346 KB) 03 Jul 2025 Attachment 7 2025 CIA Jurors 14-03-25(41 KB) 03 Jul 2025 Attachment 8 CIA Jury Handbook version 23-2025(394 KB) 03 Jul 2025 Attachment 9 Officials SC Minutes FINAL 2025(382 KB) 03 Jul 2025 Attachment 10 2025_EDS_MINUTES Final(29 KB) 03 Jul 2025 Attachment 11 FAI_CIA_Records_2025(2516 KB) 03 Jul 2025 Attachment 12 2025 Minutes Records Subcommittee(87 KB) 03 Jul 2025 Attachment 13 2025 Report WG Safety and Education(68 KB) 03 Jul 2025 Attachment 14 CSC 2025 Minutes V2(112 KB) 03 Jul 2025 Attachment 15 Rules-SC-2025 minutes(376 KB) 03 Jul 2025 Attachment 16 GB MER 2025 - final(200 KB) 03 Jul 2025 Attachment 17 Minutes AA WG v2(295 KB) 03 Jul 2025 Attachment 18 AXMER2025(752 KB) 03 Jul 2025 Attachment 19 Minutes-AX-WG-2025 v2(907 KB) 03 Jul 2025 Attachment 20 COH 2025 final(1915 KB) 03 Jul 2025 Attachment 21 Scoring WG Minutes 2025(196 KB) 03 Jul 2025 Attachment 22 SC01 April 2025 Final(987 KB) 03 Jul 2025 Attachment 23 CIA-Internal-Regulations-2025-Version 3.4(769 KB) 03 Jul 2025 Attachment 24 S1 WG Minutes 2025 v3(168 KB) 03 Jul 2025 Attachment 25 NTSC Minutes presentation 2025(5438 KB) 03 Jul 2025 Attachment 26 NTSC Minutes 2025(140 KB) 03 Jul 2025 Attachment 27 PMR Plenary Report_v4(6768 KB) 03 Jul 2025 Attachment 28 Legends of Ballooning - Project Outline - PMR - Ver 2025-01(17 KB) 03 Jul 2025 Attachment 30 2025 PMR SC Minutes of Meeting held 13-March-2025 India VER.03FINAL(70 KB) 03 Jul 2025 Attachment 31 Addendum PMR_Project Performance_v2(120 KB) 03 Jul 2025 Attachment 32 EDS Review of 2025 Events(2666 KB) 03 Jul 2025 Attachment 33 GB2026 Slide for CIA Plenary 2025(3550 KB) 03 Jul 2025 Attachment 34 EDS_Events to be Sanctioned 2025(4017 KB) 03 Jul 2025 Attachment 36 Mallorca 2027 presentation CIA New Delhi - new(14757 KB) 03 Jul 2025 Attachment 38 Presentation India(18759 KB) 03 Jul 2025 Attachment 40 Finance presentation(1026 KB) 03 Jul 2025 Attachment 41 CIA Budget proposal template incl 2026 (37 KB) 03 Jul 2025 Attachment 42Hall of Fame 2025 Minutes(108 KB) 2024 Lausanne (SUI), 15-16 March 2024 31 Jan 2024 2024 CIA Plenary Meeting Agenda(255 KB) 31 Jan 2024 2024 CIA Plenary Meeting Programme_v2(241 KB) 20 Nov 2023 2024 CIA Plenary Meeting Invitation(55 KB) 20 Nov 2023 2024_CIA Proxy Form(14 KB) 20 Nov 2023 Award nomination form_CIA(173 KB) Meeting Minutes and Attachments 28 Jan 2025 cia_plenary_meeting_minutes_2024_revised2.pdf(766 KB) 03 Jun 2024 2024 CIA Plenary Meeting Minutes(768 KB) 03 Jun 2024 Attachment 1 CIA Bureau decisions 2023(232 KB) 03 Jun 2024 Attachment 1 CIA Bureau decisions 2024(1173 KB) 06 Jun 2024 Attachments 2-2024-CIA-plenary-FAI-SG (report)(1708 KB) 03 Jun 2024 Attachment 3 JB Meeting Report(335 KB) 03 Jun 2024 Attachment 4 Officials SC Minutes 2024(1092 KB) 03 Jun 2024 Attachment 5 EDS Minutes 2024(131 KB) 03 Jun 2024 Attachment 6 Records Subcommittee Minutes 2024(88 KB) 03 Jun 2024 Attachment 7 Safety and Education report 2024(46 KB) 03 Jun 2024 Attachment 8 CSC Minutes 2024(834 KB) 03 Jun 2024 Attachment 9 AA WG Minutes(427 KB) 03 Jun 2024 Attachment 10 GB Rules 2024(260 KB) 03 Jun 2024 Attachment 11 Respectful flying score(93 KB) 03 Jun 2024 Attachment 12 AXWG Minutes 2024(1351 KB) 03 Jun 2024 Attachment 13 BA_BX Working Group Minutes 2024(82 KB) 03 Jun 2024 Attachment 14 CIA-BX-MER-2024(343 KB) 03 Jun 2024 Attachment 15 Scoring WG Minutes 2024(1042 KB) 03 Jun 2024 Attachment 16 S1 WG Minutes 2024(111 KB) 03 Jun 2024 Attachment 17 NTSC Minutes 2024(113 KB) 03 Jun 2024 Attachment 18 PMR Minutes 2024(227 KB) 03 Jun 2024 Attachment 19 PMR Report presentation 2024(4033 KB) 03 Jun 2024 Attachment 20 CIA 2024 Sanctioned Events(242 KB) 03 Jun 2024 Attachment 21 Events to be Sanctioned 2024(931 KB) 03 Jun 2024 Attachment 22 CIA Budget 2024 YEE adjustment March(239 KB) 03 Jun 2024 Attachment 23 CIA Budget 2025(238 KB) 03 Jun 2024 Attachment 24 Hans Akerstedt Award(13 KB) 03 Jun 2024 Attachment 25 Hall of Fame 2024 Minutes(119 KB) 2023 Hasle-Rüegsau (SUI), 17-18 March 2023 27 Feb 2023 2023 CIA Plenary Meeting - invitation(137 KB) 27 Feb 2023 2023 CIA Plenary Meeting - timetable(246 KB) 12 May 2023 cia_plenary_meeting_minutes_2023.pdf(902 KB) 12 May 2023 2023_cia_plenary_agenda.pdf(303 KB) Minutes Attachments 12 May 2023 attachment_1_cia-plenary-2023-fai-sg-report-2023-mar-17.pdf(2333 KB) 12 May 2023 attachment_2_minutes_jury_board_2023.pdf(300 KB) 12 May 2023 attachment_3_2023_cia_jurors.pdf(33 KB) 12 May 2023 attachment_4_event_juries_2023-2024.pdf(108 KB) 12 May 2023 attachment_5_2023_international_director_list.doc(107 KB) 12 May 2023 attachment_6_minutes_officials_sc_2023.docx(381 KB) 12 May 2023 attachment_7_sa_management_system.pptx(306 KB) 12 May 2023 attachment_8_minutes_eds_2023.docx(39 KB) 12 May 2023 attachment_9_presentation_fai_cia_records_2023.pptx(394 KB) 12 May 2023 attachment_10_minutes_records_sc_2023.pdf(108 KB) 12 May 2023 attachment_11_minutes_safety_education_sc_2023.docx(133 KB) 12 May 2023 attachment_12_minutes_csc_2023.docx(29 KB) 12 May 2023 attachment_13_minutes_rules-sc-2023.docx(375 KB) 12 May 2023 attachment_14_gb_mer_2023_-_final.docx(199 KB) 12 May 2023 attachment_15_gb_2023_rules_final.pdf(241 KB) 12 May 2023 attachment_16_minutes_aawg_2023.doc(422 KB) 12 May 2023 attachment_17_minutes_ba-bx_working_group_2023_v2.pdf(90 KB) 12 May 2023 attachment_18_minutes_s1_wg_2023.pdf(804 KB) 12 May 2023 attachment_19_minutes-ax-wg-2023.docx(382 KB) 12 May 2023 attachment_20_coh_2023_-_final.pdf(1426 KB) 12 May 2023 attachment_21_minutes_scoringwg_2023.docx(512 KB) 12 May 2023 attachment_22_ntsc_minutes_presentation_2023.pdf(5948 KB) 12 May 2023 attachment_23_records_with_balloon_live.pdf(168 KB) 12 May 2023 attachment_24_minutes-ntsc-2023.pdf(102 KB) 12 May 2023 attachment_25_minutes_pmr_sc_2023.docx(118 KB) 12 May 2023 attachment_26_addendum_to_2023_pmr_report.docx(109 KB) 12 May 2023 attachment_27_cia_2023_sanctioned_events-2.pptx(59 KB) 12 May 2023 attachment_28_europeans_2025_finalnew.pdf(7551 KB) 12 May 2023 attachment_29_cia_budget_2023_adjusted_march_2023.xlsx(61 KB) 12 May 2023 attachment_30_cia_budget_2024.xlsx(61 KB) 12 May 2023 attachment_31_cia-plenary-2023-reserves-extract.pptx(113 KB) 12 May 2023 attachment_32_minutes_hall_of_fame_2023.doc(167 KB) 12 May 2023 attachment_33_cia-plenary-2023-elections.pptx(93 KB) Agenda Attachments 12 May 2023 attachment_1_cia_plenary_meeting_minutes_2022.pdf(1009 KB) 12 May 2023 attachment_2.1_cia_bureau_decisions_2022.pdf(260 KB) 12 May 2023 attachment_2.2_cia_bureau_decisions_2023_new.pdf(229 KB) 12 May 2023 attachment_3_jury_board_agenda_march_2023.docx(169 KB) 12 May 2023 attachment_4_officials_sc_plenary_agenda_2023.docx(232 KB) 12 May 2023 attachment_5_eds_agenda_plenary_2023.docx(23 KB) 12 May 2023 attachment_6_records_sc_plenary_agenda_2023.pdf(118 KB) 12 May 2023 attachment_7_safety_education_sc_plenary_agenda_2023.docx(126 KB) 12 May 2023 attachment_8_competitors_sc_plenary_agenda_2023.pdf(78 KB) 12 May 2023 attachment_9_rules_sc_plenary_agenda_2023.docx(377 KB) 12 May 2023 attachment_9.1_aa_wg_plenary_agenda_2023.doc(167 KB) 12 May 2023 attachment_9.2_ax_wg_plenary_agenda_2023.docx(314 KB) 12 May 2023 attachment_9.3_bx_wg_plenary_agenda_2023.pdf(82 KB) 12 May 2023 attachment_9.4_scoring_wg_plenary_agenda_2023.docx(182 KB) 12 May 2023 attachment_9.5_s1_wg_plenary_agenda_2023.pdf(680 KB) 12 May 2023 attachment_9.6_proposal_to_agenda_austria.pdf(154 KB) 12 May 2023 attachment_10_ntsc_plenary_agenda_2023.docx(36 KB) 12 May 2023 attachment_11_pmr_sc_plenary_agenda2023.pdf(1046 KB) 12 May 2023 attachment_12_organizers_event_support_plenary_agenda_2023.docx(23 KB) 12 May 2023 attachment_18_hall_of_fame_plenary_agenda_2023.doc(167 KB) 12 May 2023 attachment_13_cimp_report_2022.docx(14 KB) 12 May 2023 attachment_14_sanction_application_23rd_fai_european_hot_air_balloon_championship_2025.docx(254 KB) 12 May 2023 attachment_15_cia_budget_2023_adjusted_january_2023.xlsx(61 KB) 12 May 2023 attachment_16_cia_budget_2024.xlsx(61 KB) 12 May 2023 montgolfier_nomination_contribution_to_the_sport_slavko_avi_sorn.pdf(94 KB) 12 May 2023 montgolfier_nomination_best_performance_gas_benni_eimers.pdf(556 KB) 12 May 2023 montgolfier_nomination_best_performance_hot_air_henk_broeders_2.pdf(344 KB) 12 May 2023 montgolfier_nomination_best_performance_hot_air_henk_broeders.docx(893 KB) 12 May 2023 montgolfier_nomination_best_performance_hot_air_henk_broeders.pdf(32 KB) 12 May 2023 montgolfier_nomination_contribution_to_the_sport_john_grubbstrom.pdf(636 KB) 12 May 2023 montgolfier_nomination_contribution_to_the_sport_peter_blaser.pdf(1285 KB) 12 May 2023 montgolfier_nomination_contribution_to_the_sport_sam_parks.docx(114 KB) 12 May 2023 photo_benni_eimers.pdf(123 KB) 12 May 2023 photo_henk_broeders.pdf(259 KB) 12 May 2023 photo_john_grubbstrom.pdf(200 KB) 12 May 2023 photo_peter_blaser.pdf(315 KB) 12 May 2023 photo_sam_parks.pdf(167 KB) 12 May 2023 photo_slavko_avi_sorn.pdf(303 KB) 12 May 2023 attachment_17_inventaire_2022_cia.xls(88 KB) 2022 - Rome (ITA), 18-19 March 2022 10 May 2022 CIA 2022 Plenary Meeting - Minutes(1009 KB) 30 Jan 2022 2022_cia_plenary_agenda.pdf(248 KB) 30 Jan 2022 cia_2022_plenary_meeting_-_programme.pdf(250 KB) Agenda Attachments 30 Jan 2022 attachment_1_2021_cia_e-plenary_minutes.pdf(1905 KB) 30 Jan 2022 attachment_2_cia_bureau_decisions_2021.pdf(231 KB) 30 Jan 2022 attachment_3_jury_board_agenda_2022.pdf(172 KB) 30 Jan 2022 attachment_4_officials_sc_agenda_2022.pdf(172 KB) 30 Jan 2022 attachment_5_eds_agenda_2022.pdf(179 KB) 30 Jan 2022 attachment_6_records_sc_agenda_2022_.pdf(117 KB) 30 Jan 2022 attachment_7_safety_educatin_sc_agenda_2022.pdf(85 KB) 30 Jan 2022 attachment_8_csc_agenda_2022.pdf(80 KB) 30 Jan 2022 attachment_9_rules_sc_agenda_2022.pdf(188 KB) 30 Jan 2022 attachment_9.1_aawg_agenda_2022.pdf(142 KB) 30 Jan 2022 attachment_9.2_ax_wg_agenda_2022.pdf(185 KB) 30 Jan 2022 attachment_9.3_bx_wg_agenda_2022.pdf(81 KB) 30 Jan 2022 attachment_9.4_scoring_wg_agenda_2022.pdf(122 KB) 30 Jan 2022 attachment_9.5_s1_wg_agenda_2022.pdf(139 KB) 30 Jan 2022 attachment_10_ntsc_agenda_2022.pdf(49 KB) 30 Jan 2022 attachment_11_pmr_agenda_2022.pdf(269 KB) 30 Jan 2022 attachment_11.1_2021_stories_on_web_for_fai_international_ballooning_comm.pdf(76 KB) 30 Jan 2022 attachment_11.2_draft_event_website_and_social_media_guide.pdf(358 KB) 30 Jan 2022 attachment_11.3_czech_repub_byc_appl_for_cia_scholarship_2022.pdf(285 KB) 30 Jan 2022 attachment_11.4_france_byc_appl_for_cia_scholarship_2022.pdf(653 KB) 30 Jan 2022 attachment_11.5_germany_byc_appl_for_cia_scholarship_2022.pdf(186 KB) 30 Jan 2022 attachment_11.6_poland_byc_appl_for_cia_scholarship_2022.pdf(2982 KB) 30 Jan 2022 attachment_11.7_usa_byc_appl_for_cia_scholarship_2022_part_1.pdf(322 KB) 30 Jan 2022 attachment_11.8_usa_byc_appl_for_cia_scholaship_2022_part_2.pdf(148 KB) 30 Jan 2022 attachment_12_organizers_event_support_plenary_agenda_2022.pdf(20 KB) 30 Jan 2022 attachment_13_cimp_report_2021.pdf(78 KB) 30 Jan 2022 attachment_14_cia_budget_2022_final.pdf(139 KB) 30 Jan 2022 attachment_15_cia_budget_2023_draft.pdf(138 KB) 30 Jan 2022 attachment_16_montgolfier_nomination_klaus_hartmann.pdf(190 KB) 30 Jan 2022 attachment_17_klaus_hartmann_photos.pdf(372 KB) 30 Jan 2022 attachment_18_montgolfier_nomination_gary_lockyer.pdf(60 KB) 30 Jan 2022 attachment_19_montgolfier_nomination_gary_lockyer.pdf(186 KB) 30 Jan 2022 attachment_20_garry_lockyer_photos.pdf(175 KB) 30 Jan 2022 attachment_21_montgolfier_nomination_john_grubbstrom.pdf(611 KB) 30 Jan 2022 attachment_22_john_grubbstrom_photos.pdf(194 KB) 30 Jan 2022 attachment_23_montgolfier_nomination_best_performance_gas_decellieres_and_havret.pdf(365 KB) 30 Jan 2022 attachment_24_montgolfier_nomination_best_performance_gas_decellieres_and_havret.pdf(163 KB) 30 Jan 2022 attachment_25_decellieres_and_havret_photos.pdf(265 KB) 30 Jan 2022 attachment_26_montgolfier_nomination_best_performance_hot_air_david_spildoorn.pdf(417 KB) 30 Jan 2022 attachment_27_david_spildoorn_photos.pdf(252 KB) 30 Jan 2022 attachment_28_hall_of_fame_agenda_2022.pdf(55 KB) 08 Mar 2022 attachment_eds_2023_north_american_championship.pdf(229 KB) 08 Mar 2022 attachment_eds_2024_worlds_mallorca_vs_1.1.pdf(194 KB) 08 Mar 2022 attachment_eds_worlds-2024-szeged-sanctionapplicationv2.04.pdf(234 KB) 08 Mar 2022 attachment_eds_spain_nac_letter.pdf(372 KB) 08 Mar 2022 attachment_eds_canada_intention_to_bid_worlds_2026.pdf(57 KB) 08 Mar 2022 attachment_eds_hungary_nac_letter.pdf(2153 KB) Minutes Attachments 04 May 2022 attachment_1_fai-secretary-general-to-commissions_report.pdf(2028 KB) 04 May 2022 attachment_2_jb_minutes_2022_.pdf(188 KB) 04 May 2022 attachment_3_officials_sc_minutes_2022_.pdf(227 KB) 04 May 2022 attachment_4_cat1._event_directors_list_2022.pdf(670 KB) 04 May 2022 attachment_5_eds_minutes_2022.pdf(185 KB) 04 May 2022 attachment_6_safety_education_sc_presentation_2022.pdf(472 KB) 04 May 2022 attachment_7_safety_education_sc_minutes_2022.pdf(149 KB) 04 May 2022 attachment_8_csc_presentation_2022.pdf(1079 KB) 04 May 2022 attachment_9_csc_minutes_2022.pdf(120 KB) 04 May 2022 attachment_10_rules-sc-2022_minutes.pdf(178 KB) 04 May 2022 attachment_11_aawg_media_proposal.pdf(2573 KB) 04 May 2022 attachment_12_aawg_minutes_2022.pdf(271 KB) 04 May 2022 attachment_13_ax-wg_minutes_2022.pdf(225 KB) 04 May 2022 attachment_14_ba-bxwg_minutes_2022.pdf(88 KB) 04 May 2022 attachment_15_coh_2022_-_final.pdf(1411 KB) 04 May 2022 attachment_16_scoringwg_minutes_2022.pdf(134 KB) 04 May 2022 attachment_17_s1_wg_minutes_2022.pdf(198 KB) 04 May 2022 attachment_18_ntsc_presentation_2022.pdf(8171 KB) 04 May 2022 attachment_19_ntsc_minutes_2022.pdf(100 KB) 04 May 2022 attachment_20_pmrsc_minutes_2022.pdf(133 KB) 04 May 2022 attachment_21_eos_minutes_2022_.pdf(180 KB) 04 May 2022 attachment_22_sanctioned_events_2021_onwards.pdf(481 KB) 04 May 2022 attachment_23_presentation_mallorca_wc_2024.pdf(17184 KB) 04 May 2022 attachment_24_presentation_hungary_wc_2024.pdf(26333 KB) 04 May 2022 attachment_25_hall_of_fame_minutes_2022.pdf(142 KB) 2021 E-Plenary 17-20 March 2021 Agenda 16 Jan 2021 2021_cia_eplenary_-_planning_and_agenda.pdf(710 KB) 16 Jan 2021 appendix_8.1_cia_bureau_decisions_2019_sh.pdf(396 KB) 16 Jan 2021 appendix_8.2_cia_bureau_decisions_after_cancellation_plenary_2020.pdf(760 KB) 16 Jan 2021 appendix_11_agenda_jury_board_2021-v1.pdf(82 KB) 16 Jan 2021 appendix_11.1_jury_reports_2019.pdf(1855 KB) 16 Jan 2021 appendix_12_agenda_officials_sc_2021.pdf(69 KB) 16 Jan 2021 appendix_13_agenda_eds_2021.docx(107 KB) 16 Jan 2021 appendix_13_agenda_eds_2021.pdf(125 KB) 16 Jan 2021 appendix_13.1_eds_event_calendar.pdf(76 KB) 16 Jan 2021 appendix_14_agenda_records_sc_2021.pdf(61 KB) 16 Jan 2021 appendix_15_agenda_safety_and_education_2021.pdf(140 KB) 16 Jan 2021 appendix_16_agenda_csc_2021.pdf(80 KB) 16 Jan 2021 appendix_17_agenda-rules-sc-2021.pdf(557 KB) 16 Jan 2021 appendix_17.1_agenda_aawg_2021.pdf(99 KB) 16 Jan 2021 appendix_17.2_agenda-ax-wg-2021.pdf(505 KB) 16 Jan 2021 appendix_17.3_agenda_bx_wg_2020.pdf(75 KB) 16 Jan 2021 appendix_17.4_agenda-scoring-wg-2021.pdf(226 KB) 16 Jan 2021 appendix_17.5_agenda_s1_wg_2021_v1.0.pdf(106 KB) 16 Jan 2021 appendix_17.5.1_sc01_agenda_annex_1.pdf(75 KB) 16 Jan 2021 appendix_17.5.2_sc01_agenda_annex_1a.pdf(67 KB) 16 Jan 2021 appendix_17.5.3_sc01_agenda_annex_2.pdf(58 KB) 16 Jan 2021 appendix_17.5.4_sc01_agenda_annex_3.pdf(48 KB) 16 Jan 2021 appendix_17.5.5_sc01_agenda_aob_2021.pdf(45 KB) 16 Jan 2021 appendix_18_agenda_ntsc_2021.pdf(55 KB) 16 Jan 2021 appendix_19_agenda_cia_pmr_sc_2021.pdf(21 KB) 16 Jan 2021 appendix_19.1_cia-guidelines-youth-camps-dec_2020_ver_1.2_for_approval.pdf(151 KB) 16 Jan 2021 appendix_20_agenda_organizers_event_support_agenda_2021.pdf(74 KB) 16 Jan 2021 appendix_22.1_cimp_2020_report_to_raec_and_cia.pdf(39 KB) 16 Jan 2021 appendix_23.3.3.1_intention_to_bid_information_mallorca.pdf(55 KB) 16 Jan 2021 appendix_23.3.3.2_intention_to_bid_letternacspain.pdf(372 KB) 16 Jan 2021 appendix_24.1_2019_cia_-_balance_sheet.pdf(56 KB) 16 Jan 2021 appendix_24.2_2019_cia_-_pl.pdf(58 KB) 16 Jan 2021 appendix_24.4_cia_budget_2021_form2.pdf(63 KB) 16 Jan 2021 appendix_24.5_inventaire_2020_cia.pdf(41 KB) 16 Jan 2021 appendix_25.1_cia_-_montgolfier_diploma_gas_-_usa_-_cayton_zapart.pdf(962 KB) 16 Jan 2021 appendix_25.2_cia_-_montgolfier_diploma_hot_air_-_usa_-_magee.pdf(69 KB) 16 Jan 2021 appendix_26_agenda_hof_2021.pdf(60 KB) 16 Jan 2021 appendix_26.1_2020_nominee_ales_kubicek.pdf(1451 KB) 16 Jan 2021 appendix_26.2_2020_nominee_vincent_leys.pdf(91 KB) 16 Jan 2021 appendix_26.3_2020_nominee_wilhelm_eimers.pdf(7937 KB) Minutes 03 May 2021 2021_cia_e-plenary_minutes.pdf(1905 KB) 03 May 2021 attachment_1_report_officials_sc_2021.pdf(377 KB) 03 May 2021 attachment_2_officials_annex_b_2021_cia-event-director-app-form.pdf(321 KB) 03 May 2021 attachment_3_officials_annex_c_proposal-lt.pdf(35 KB) 03 May 2021 attachment_4_officials_annex_d_proposal_for_cia_sanctioned_event_organziers_checklist_feb_2021_-_pmr_chair.pdf(63 KB) 03 May 2021 attachment_5_officials_annex_e_2021-feb_-_suggestion_to_cia_officials_sc_-_next_generation_officials.pdf(111 KB) 03 May 2021 attachment_6_report_eds_2021_.pdf(114 KB) 03 May 2021 attachment_7_badges_2021-02.pdf(59 KB) 03 May 2021 attachment_8_report_records_sc_2021.pdf(111 KB) 03 May 2021 attachment_9_report_safety_education_sc_2021.pdf(145 KB) 03 May 2021 attachment_10_report_competitors_sc_2021.pdf(112 KB) 03 May 2021 attachment_11_report_rules-sc-2021.pdf(497 KB) 03 May 2021 attachment_12_report_aa_wg_2021.pdf(84 KB) 03 May 2021 attachment_13_report_ax-wg-2021_v4.pdf(564 KB) 03 May 2021 attachment_14_ax_wg_axmer2021_track_changes.docx(175 KB) 03 May 2021 attachment_15_report_ba-bx_wg_2021.pdf(96 KB) 03 May 2021 attachment_16_report_scoring_wg_2021.pdf(323 KB) 03 May 2021 attachment_17_coh_2021.pdf(1288 KB) 03 May 2021 attachment_18_report_sc01_wg_2021_.pdf(169 KB) 03 May 2021 attachment_19_sc01_april_2021_final_v2.docx(182 KB) 03 May 2021 attachment_20_ntsc_presentation_2021.pdf(24810 KB) 03 May 2021 attachment_21_report_ntsc_2021.pdf(124 KB) 03 May 2021 attachment_22_report_pmr_sc_2021.pdf(54 KB) 03 May 2021 attachment_23_pmr_gordon_bennett_website_and_social_media_guide_2019.pdf(879 KB) 03 May 2021 attachment_24_pmr_cia-guidelines-youth_camps_ver_2021-final_17feb2021.pdf(417 KB) 03 May 2021 attachment_25_pmr_2021_proposal_for_event_organizers_help_desk.pdf(70 KB) 03 May 2021 attachment_26_pmr_proposal_for_cia_sanctioned_event_organziers_checklist_feb_2021.pdf(104 KB) 03 May 2021 attachment_27_report_oesc_2021.pdf(511 KB) 03 May 2021 attachment_28_event_organizers_cia_plenary_presentation.pdf(945 KB) 03 May 2021 attachment_29_report_jb_2021_video_meeting_minutes_feb_20-v4.pdf(94 KB) 03 May 2021 attachment_30_jb_2021_cia_jurors.pdf(49 KB) 03 May 2021 attachment_31_jb_2021_jury_selection_procedure_jb_proposal_v-1-0.pdf(1658 KB) 03 May 2021 attachment_33_europeans2021_cia-eplanery.pdf(995 KB) 10 May 2021 attachment_34_eds_gb21-presentation-cia_small.pdf(6190 KB) 03 May 2021 attachment_35_eds_6thjuniors_english_1501.pdf(6395 KB) 03 May 2021 attachment_36_cia_budget_2022_form_updated.pdf(120 KB) 03 May 2021 attachment_37_2021_plenary_presentation.pdf(4898 KB) 2020 Lausanne (SUI), 20-21 March 2020 21 Jan 2020 CIA 2020 Plenary Meeting - Invitation(113 KB) 04 Feb 2020 CIA 2020 Plenary Meeting Timetable(131 KB) Agenda 04 Feb 2020 CIA 2020 Plenary Meeting Agenda(1624 KB) 04 Feb 2020 Appendix 1 CIA Bureau Decisions 2019.pdf(396 KB) 04 Feb 2020 Appendix 2 Agenda Juryboard 2020.pdf(64 KB) 04 Feb 2020 Appendix 3 - Agenda Officials SC 2020.pdf(342 KB) 04 Feb 2020 Appendix 4 - Agenda eds 2020 lm.pdf(68 KB) 04 Feb 2020 Appendix 4.1 - Agenda eds 2020 lm 2.pdf(93 KB) 04 Feb 2020 Appendix 5 - Agenda Records sc 2020 tb.pdf(319 KB) 04 Feb 2020 Appendix 6 - Agenda oes 2020 ms.pdf(74 KB) 04 Feb 2020 Appendix 7 - Agenda Safety sc 2020 bs.pdf(605 KB) 04 Feb 2020 Appendix 8 - Agenda Competitors sc 2020 ab.pdf(159 KB) 04 Feb 2020 Appendix 9 - Agenda Rules sc 2020 us.pdf(538 KB) 04 Feb 2020 Appendix 9.1 - Agenda aa am wg 2020 ms.pdf(166 KB) 04 Feb 2020 Appendix 9.2 - Agenda ax wg 2020 us.pdf(535 KB) 04 Feb 2020 Appendix 9.3 - Agenda ba bx wg 2020 lg.pdf(75 KB) 04 Feb 2020 Appendix 9.4 - Agenda scoring wg 2020 ep.pdf(405 KB) 04 Feb 2020 Appendix 9.5 - Agenda s1 wg 2020 lp.pdf(106 KB) 04 Feb 2020 Appendix 9.5.1 - Agenda annex 1 sc01 lp.pdf(75 KB) 04 Feb 2020 Appendix 9.5.2 - Agenda annex 1a sc01 lp.pdf(67 KB) 04 Feb 2020 Appendix 9.5.3 - Agenda annex 2 sc01 lp.pdf(45 KB) 04 Feb 2020 Appendix 9.5.4 - Agenda annex 3 sc01 sc01 lp.pdf(48 KB) 04 Feb 2020 Appendix 10 - Agenda ntsc 2020 cw.pdf(46 KB) 04 Feb 2020 Appendix 11 agenda pmr sc 2020 ds.pdf(300 KB) 04 Feb 2020 Appendix 11.1 - 2020 cia bycamp app w schedule usa.pdf(261 KB) 04 Feb 2020 Appendix 11.2 - 2020 cia bycamp app - brazil.pdf(286 KB) 04 Feb 2020 Appendix 11.3 - 2020 cia bycamp app - czechrep.pdf(223 KB) 04 Feb 2020 Appendix 12 - CIMP 2019 Report to RAEC and CIA.pdf(48 KB) 04 Feb 2020 Appendix 13 - Minutes CASI 2019.pdf(285 KB) 04 Feb 2020 Appendix 14 - 2019 Expense Income CIA 2019.pdf(44 KB) 04 Feb 2020 Appendix 15 - CIA Income and Expenses Budget 2020.pdf(194 KB) 04 Feb 2020 Appendix 16 - Inventaire 2019 CIA mouvements.pdf(42 KB) 04 Feb 2020 Appendix 17 - CIA - Montgolfier Diploma Gas - USA Cayton Zapart.pdf(962 KB) 04 Feb 2020 Appendix 18 - CIA Montgolfier Diploma Hot air - USA Magee.pdf(69 KB) 04 Feb 2020 Appendix 19 - Agenda Hall of Fame 2020 tb.pdf(320 KB) Bureau decisions after cancelled plenary 19 Apr 2020 CIA Bureau decisions after cancelled plenary 2020(772 KB) Attachments 19 Apr 2020 attachment_1_jb_2020_video_meeting_march_13-25.pdf(75 KB) 19 Apr 2020 attachment_2_jb_2020-01_cia_event_jurors_2020-21.pdf(79 KB) 19 Apr 2020 attachment_3_jb_2020-02_annex_a._cia_organiser_agreement_jb_final.pdf(109 KB) 19 Apr 2020 attachment_4_jb_2020-03._fai_statutes_modifs_2020.pdf(79 KB) 19 Apr 2020 attachment_5_jb_2020-04_jury_selection_procedure_jb_final.pdf(1282 KB) 19 Apr 2020 attachment_6_jb_2020-05_gordon_bennett_jury_procedure.pdf(681 KB) 19 Apr 2020 attachment_7_axmer2020.pdf(520 KB) 19 Apr 2020 attachment_8_axmer2020_chgs.docx(175 KB) 19 Apr 2020 attachment_9_coh_2020_-_final.pdf(1267 KB) 19 Apr 2020 attachment_10_coh_2020_-_track_changes_draft3.doc(1020 KB) 19 Apr 2020 attachment_11_gb_mer_2020_-_final.docx(195 KB) 19 Apr 2020 attachment_12_gb_mer_2020_-_track_changes_draft6.docx(202 KB) 19 Apr 2020 attachment_13_gb_oh_2020_-_final.pdf(239 KB) 19 Apr 2020 attachment_14_gb_oh_2020_-_track_changes_draft2.docx(195 KB) 19 Apr 2020 attachment_15_5th_jwc_2021_vs1.1.pdf(230 KB) 19 Apr 2020 attachment_16_intention_to_bid_info_mallorcaworlds2022.pdf(427 KB) 19 Apr 2020 attachment_17_intentiontobidlithuania1worlds2022.pdf(1266 KB) 19 Apr 2020 attachment_18_intention_to_bid_grudziadz_ww2023.pdf(111 KB) 19 Apr 2020 attachment_19_intention_to_bid_wloclawek_europeans2023.pdf(109 KB) 2019 Istanbul (TUR), 13-14 March 2019 14 Jan 2019 2019 Plenary Conference Timetable(38 KB) 07 Dec 2018 CIA 2019 Plenary Meeting - Invitation(142 KB) 31 Jan 2019 CIA 2019 Plenary Meeting - Organisers Invitation(186 KB) Agenda 01 Mar 2019 CIA 2019 Plenary Meeting - Agenda(108 KB) 28 Jan 2019 Annex 8.1 - Bureau Actions(137 KB) 28 Jan 2019 Annexe 12.1 - Agenda Jury and Board SC(12 KB) 28 Jan 2019 Annexe - 13-1 Agenda Officials SC(47 KB) 28 Jan 2019 Annex 14.1 - Agenda Event Development Service SC(25 KB) 28 Jan 2019 Annexe 15.1 - Agenda Records SC(61 KB) 28 Jan 2019 Annex 16.1 - Agenda Safety and Education SC(67 KB) 28 Jan 2019 Annexe 17.1 - Agenda Competitor SC(101 KB) 28 Jan 2019 Annexe 18.1 - Agenda Rules SC(14 KB) 28 Jan 2019 Annex 18.2 - Agenda AA/AM WG(51 KB) 28 Jan 2019 Annexe 18.3 - Agenda AX WG(6 KB) 28 Jan 2019 Annex 18.4 - Agenda BA/BX WG(75 KB) 28 Jan 2019 Annex 18.5 - Agenda Scoring WG(55 KB) 28 Jan 2019 Annex 18.6 - Agenda Statutes, By-Laws & Sporting Code WG(47 KB) 28 Jan 2019 Annexe 19.1 - Agenda New Technology SC(47 KB) 28 Jan 2019 Annex 20.1 - Agenda Public and Media Relation SC(48 KB) Minutes 22 Nov 2019 CIA 2019 Plenary Meeting - Minutes(496 KB) 08 May 2019 Appendix 1 – CIA Bureau meeting minutes 2018-2019(403 KB) 08 May 2019 Appendix 2 – CIA Jury Board meeting minutes 2019(74 KB) 09 May 2019 Appendix 2a – Jury board motion 1(106 KB) 08 May 2019 Appendix 2b – Jury board motion 2(69 KB) 09 May 2019 Appendix 2c – Jury board motion 3(102 KB) 09 May 2019 Appendix 2d – Jury board motion 4(83 KB) 08 May 2019 Appendix 3 – CIA Officials meeting minutes 2019(375 KB) 08 May 2019 Appendix 4 – CIA Event Development Services meeting minutes 2019(136 KB) 09 May 2019 Appendix 5 – CIA Records meeting minutes 2019(121 KB) 08 May 2019 Appendix 6 – CIA Safety & Education meeting minutes 2019(222 KB) 08 May 2019 Appendix 7 – CIA Competitors meeting minutes 2019(159 KB) 08 May 2019 Appendix 8 – CIA Rules meeting minutes 2019(92 KB) 08 May 2019 Appendix 8a – CIA AA WG meeting minutes 2019(95 KB) 08 May 2019 Appendix 8b – CIA AX WG meeting minutes 2019(22 KB) 08 May 2019 Appendix 8c – CIA BABX WG meeting minutes 2019(96 KB) 08 May 2019 Appendix 8d – CIA Scoring WG meeting minutes 2019(101 KB) 08 May 2019 Appendix 8e – CIA Sporting Code Section one WG meeting minutes 2019(157 KB) 08 May 2019 Appendix 9 – CIA New Technologies meeting minutes 2019(54 KB) 08 May 2019 Appendix 10 – CIA Public and Media Relations meeting minutes 2019(69 KB) 08 May 2019 Appendix 11 – CIA Hall of Fame meeting minutes 2019(98 KB) 08 May 2019 Attachment 1 – FAI Members List of delegates March 2019(110 KB) 08 May 2019 Attachment 2 – Bureau decisions 2018-2019(137 KB) 08 May 2019 Attachment 3 – List of Jurors for 2019(88 KB) 08 May 2019 Attachment 4 - FAI Medico-Physiological Commission (CIMP) report(38 KB) 08 May 2019 Attachement 5 – Open Calendar for future events(93 KB) Strategy workshop 20 Nov 2019 strategy_workshop_report.pdf(20959 KB) 20 Nov 2019 workshop_presentation.pdf(29022 KB) 20 Nov 2019 cia_a1_weaknesses.pdf(3034 KB) 20 Nov 2019 cia_a1_threats.pdf(2918 KB) 20 Nov 2019 cia_a1_strengths.pdf(2957 KB) 20 Nov 2019 cia_a1_opportunities.pdf(3062 KB) 2018 Palma de Mallorca (ESP), 16 - 17 March 2018 05 Jan 2018 CIA 2018 Plenary Meeting - Invitation(30 KB) Agenda 16 Mar 2018 CIA 2018 Plenary Meeting - Agenda(82 KB) 02 Feb 2018 Appendix 12.1 - Agenda Jury and Board SC(77 KB) 02 Feb 2018 Appendix 13.1 - Agenda Officials SC(143 KB) 02 Feb 2018 Appendix 14.1 - Agenda Event Development Service SC(99 KB) 02 Feb 2018 Appendix 15.1 - Agenda Records SC(60 KB) 02 Feb 2018 Appendix 16.1 - Agenda Safety and Education SC(175 KB) 02 Feb 2018 Appendix 17.1 - Agenda Competitor SC(100 KB) 02 Feb 2018 Appendix 18.1 - Agenda Rules SC(126 KB) 02 Feb 2018 Appendix 18.2 - Agenda AA/AM WG(154 KB) 02 Feb 2018 Appendix 18.3 - Agenda AX WG(83 KB) 02 Feb 2018 Appendix 18.4 - Agenda BA/BX WG(45 KB) 02 Feb 2018 Appendix 18.5 - Agenda Scoring WG(238 KB) 02 Feb 2018 Appendix 18.6 - Agenda Statutes, By-Laws & Sporting Code WG(376 KB) 02 Feb 2018 Appendix 19.1 - Agenda New Technology SC(139 KB) 02 Feb 2018 Appendix 20.1 - Agenda Public and Media Relation SC(179 KB) 02 Feb 2018 Annex 23.1.d - Event Sanction Application SLO(204 KB) 02 Feb 2018 Annex 23.3.a - Event Sanction Application LUX(115 KB) 02 Feb 2018 Annex 23.3.b - Event Sanction Application ESP(132 KB) 02 Feb 2018 Annex 23.3.b - Presentation ESP(1835 KB) 02 Feb 2018 Annex 23.3.c - Event Sanction Application SLO(136 KB) 02 Feb 2018 Annex 23.3.c - Presentation SLO(9811 KB) 02 Feb 2018 Annex 23.3.c - Presentation Bid SLO(2167 KB) 02 Feb 2018 Annex 23.3.d - Event Sanction Application CRO(169 KB) Minutes 17 Apr 2018 CIA 2018 Plenary Meeting Minutes(462 KB) 12 Apr 2018 Appendix 1 – CIA Bureau meeting minutes 2018(117 KB) 12 Apr 2018 Appendix 2 – CIA Jury Board meeting minutes 2018(122 KB) 12 Apr 2018 Appendix 3 – CIA Officials meeting minutes 2018(55 KB) 12 Apr 2018 Appendix 4 – CIA Event Development Services meeting minutes 2018(587 KB) 12 Apr 2018 Appendix 5 – CIA Records meeting minutes 2018(148 KB) 12 Apr 2018 Appendix 6 – CIA Safety & Education meeting minutes 2018(44 KB) 12 Apr 2018 Appendix 7 – CIA Competitors meeting minutes 2018(172 KB) 12 Apr 2018 Appendix 8 – CIA Rules meeting minutes 2018(7 KB) 12 Apr 2018 Appendix 8a – CIA AA WG meeting minutes 2018(50 KB) 12 Apr 2018 Appendix 8b – CIA AX WG meeting minutes 2018(37 KB) 12 Apr 2018 Appendix 8c – CIA Scoring WG meeting minutes 2018(306 KB) 12 Apr 2018 Appendix 8d – CIA Sporting Code Section one WG meeting minutes 2018(41 KB) 12 Apr 2018 Appendix 8e – CIA BABX WG meeting minutes 2018(59 KB) 12 Apr 2018 Appendix 8f – CIA ISR WG meeting minutes 2018(41 KB) 12 Apr 2018 Appendix 9 – CIA New Technologies meeting minutes 2018(53 KB) 12 Apr 2018 Appendix 10 – CIA Public and Media Relations meeting minutes 2018(541 KB) 12 Apr 2018 Appendix 11 – CIA Hall of Fame meeting minutes 2018(95 KB) 12 Apr 2018 Attachement 1 – Bureau decisions 2017-2018(86 KB) 12 Apr 2018 Attachement 2 – List of Jurors for 2018(8 KB) 12 Apr 2018 Attachement 3 – International Event Directors list 2018(44 KB) 12 Apr 2018 Attachement 4 – Competition Hand Book 2018(1375 KB) 12 Apr 2018 Attachement 5 – FAI Medico-Physiological Commission (CIMP) report(9 KB) 2017 Hong Kong, China (HKG) 17-18 March 2017 28 Mar 2018 CIA 2017 Plenary Meeting Minutes(440 KB) 30 Aug 2017 CIA 2017 Plenary Meeting - Minutes Appendices(914 KB) 30 Aug 2017 CIA 2017 Plenary Meeting - Minutes Attachments(2780 KB) 30 Aug 2017 CIA 2017 Plenary Meeting - Agenda(339 KB) 30 Aug 2017 CIA 2017 Plenary Meeting - Agenda Appendices(2375 KB) 30 Aug 2017 CIA 2017 Plenary Meeting - Invitation(148 KB) 30 Aug 2017 CIA 2017 Plenary Meeting - Hotel Booking Form(1639 KB) 30 Aug 2017 CIA 2017 Plenary Meeting - Programme(91 KB) 2016 Palma de Mallorca (ESP), 18 - 19 March 2016 30 Aug 2017 CIA 2016 Plenary Meeting - Minutes(1109 KB) 30 Aug 2017 CIA 2016 Plenary Meeting - Attachments(1680 KB) 30 Aug 2017 CIA 2016 Plenary Meeting - Agenda V4(409 KB) 30 Aug 2017 CIA 2016 Plenary Meeting - Agenda Appendices(3707 KB) 30 Aug 2017 CIA 2016 Plenary Meeting - Attachment 30.6(1336 KB) 30 Aug 2017 CIA 2016 Plenary Meeting - Mallorca Balloons Bulletin(208 KB) 30 Aug 2017 CIA 2016 Plenary Meeting - Invitation(145 KB) 2015 Lausanne (SUI), 20 - 21 March 2015 30 Aug 2017 CIA 2015 Plenary Meeting - Minutes(289 KB) 30 Aug 2017 CIA 2015 Plenary Meeting - Minutes Annexes(1024 KB) 30 Aug 2017 CIA 2015 Plenary Meeting - Minutes Attachments(3405 KB) 30 Aug 2017 CIA 2015 Plenary Meeting - Agenda(91 KB) 30 Aug 2017 CIA 2015 Plenary Meeting - Agenda Annexes(4074 KB) 30 Aug 2017 CIA 2015 Plenary Meeting - Agenda Attachments(640 KB) 30 Aug 2017 CIA 2015 Plenary Meeting - Agenda Attachment 4(315 KB) 30 Aug 2017 CIA 2015 Plenary Meeting - Nominations Mongolfier Diploma(838 KB) 30 Aug 2017 CIA 2015 Plenary Meeting - Invitation(143 KB) 30 Aug 2017 CIA 2015 Plenary Meeting - Programme(401 KB) 2014 Lausanne (SUI), 19 - 22 March 2014 30 Aug 2017 CIA 2014 Plenary Meeting - Minutes(1005 KB) 30 Aug 2017 CIA 2014 Plenary Meeting - Minutes Annexes(8576 KB) 30 Aug 2017 CIA 2014 Plenary Meeting - Japan Bid Presentation(2844 KB) 30 Aug 2017 CIA 2014 Plenary Meeting - USA Bid Presentation(1986 KB) 30 Aug 2017 CIA 2014 Plenary Meeting - Timetable Updated(42 KB) 30 Aug 2017 CIA 2014 Plenary Meeting - Agenda(402 KB) 30 Aug 2017 CIA 2014 Plenary Meeting - Agenda Annexes(3073 KB) 30 Aug 2017 CIA 2014 Plenary Meeting - Agenda Attachments(515 KB) 30 Aug 2017 CIA 2014 Plenary Meeting - Invitation(137 KB) 2013 Rio de Janeiro (BRA), 19 - 23 March 2013 30 Aug 2017 CIA 2013 Plenary Meeting - Minutes V1.1(464 KB) 30 Aug 2017 CIA 2013 Plenary Meeting - Minutes Annexes(6849 KB) 30 Aug 2017 2013 CIA Plenary Meeting - Hungary Bid Presentation(6825 KB) 30 Aug 2017 CIA 2013 Plenary Meeting - Russian Bid Presentation(9444 KB) 30 Aug 2017 CIA 2013 Plenary Meeting - Agenda(447 KB) 30 Aug 2017 CIA 2013 Plenary Meeting - Agenda Annexes(2653 KB) 30 Aug 2017 CIA 2013 Plenary Meeting - Registration(74 KB) 30 Aug 2017 CIA 2013 Plenary Meeting - Timetable(506 KB) 30 Aug 2017 CIA 2013 Plenary Meeting - Newsletter(257 KB) 30 Aug 2017 CIA 2013 Plenary Meeting - Hall of Fame(85 KB) 30 Aug 2017 CIA 2013 Plenary Meeting - Statistics(125 KB) 30 Aug 2017 CIA 2013 Plenary Meeting - Invitation(139 KB) 2012 Birstonas (LTU), 23 - 24 March 2012 30 Aug 2017 CIA 2012 Plenary Meeting - Minutes(1321 KB) 30 Aug 2017 CIA 2012 Plenary Meeting - Annexes to Minutes(10078 KB) 30 Aug 2017 CIA Plenary 2012 - Agenda(1429 KB) 2011 Tokyo (JAP), 9 - 12 March 2011 30 Aug 2017 CIA Meeting 2011 - Plenary Minutes(3360 KB) Agenda and Annexes 30 Aug 2017 CIA Meeting 2011 - Agenda(3842 KB) 30 Aug 2017 CIA Conference Newsletter 2011(514 KB) Presentation to the Plenary 30 Aug 2017 CIA Meeting 2011 - Public and Media Relations Presentation(1600 KB) 30 Aug 2017 2nd FAI Women's European Championship Germany 2012 Presentation(6976 KB) 30 Aug 2017 Santos Dumont Gold Medal Award Leonid Tyukhtyaev Presentation(4106 KB) 2010 Lausanne (SUI), 10-13 March 2010 30 Aug 2017 CIA Meeting 2010 - Plenary Minutes(3764 KB) Agenda and Annexes 30 Aug 2017 CIA Meeting 2010 - Agenda(1845 KB) 30 Aug 2017 CIA Conference Newsletter 2010(525 KB) 30 Aug 2017 AX Rules SC Discussion - v2(199 KB) 30 Aug 2017 AX Rules SC Discussion - v3(287 KB) 30 Aug 2017 Scoring Working Group Discussion - V1(179 KB) Presentatnions to the Plenary 30 Aug 2017 2010-19th World Hot Air Balloon Championship - Hungary(4288 KB) 30 Aug 2017 2010-9th World Hot Air Airship Championship - France(6592 KB) 30 Aug 2017 2011-55th Coupe Aeronautique Gordon Bennett - France(6398 KB) 2009 Lausanne (SUI), 11-14 March 2009 30 Aug 2017 CIA Meeting 2009 - Plenary Minutes(3028 KB) Agenda and Annexes 30 Aug 2017 CIA Meeting 2009 - Agenda(3876 KB) 30 Aug 2017 EDS Paper & Proposal - Events & Fees(222 KB) 30 Aug 2017 CIA Conference Newsletter 2009(194 KB) 30 Aug 2017 AX Rules SC Discussion - v5(1309 KB) Presentations to the Plenary 30 Aug 2017 2011-17th European Championship - Spain(377 KB) 30 Aug 2017 2009-53rd Coupe Aeronautique Gordon Bennett - Switzerland(2297 KB) 30 Aug 2017 2010-19th World Hot Air Balloon Championship - Hungary(724 KB) 30 Aug 2017 2010-54th coupe Aeronautique Gordon Bennett - Britain(1344 KB) 30 Aug 2017 2011-1st Women's World Championship - Latvia(3736 KB) 30 Aug 2017 2012-20th World Hot Air Balloon Championship BID - France(1815 KB) 30 Aug 2017 Competitors Survey Results(421 KB) 2008 Salzburg (AUT), 7-8 March 2008 30 Aug 2017 CIA Meeting 2008 - Agenda(2299 KB) 30 Aug 2017 CIA Meeting 2008 - Minutes(2762 KB) 30 Aug 2017 Safety Seminar Template(6437 KB) 30 Aug 2017 8th World Airship Championship Presentation(24 KB) 30 Aug 2017 Germany Youth Camp Presentation(1399 KB) 30 Aug 2017 EASA Overview Presentation 2008(91 KB) 2007 Kirchberg (LUX), 9-10 March 2007 31 Jul 2019 20-stats.doc(93 KB) 31 Jul 2019 2007-hotel-reg.doc(66 KB) 31 Jul 2019 cia-events-vertical-speed-issue-2007.ppt(1280 KB) 31 Jul 2019 cia-meeting-agenda-2007.zip(1334 KB) 31 Jul 2019 cia-meeting-environmental-commission-2008.ppt(1600 KB) 31 Jul 2019 cia-meeting-minutes-2007.zip(544 KB) 31 Jul 2019 prep07axv2.doc(139 KB) 31 Jul 2019 prep07axv2.zip(52 KB) 31 Jul 2019 prep07axv3.doc(166 KB) 31 Jul 2019 prep07axv3.zip(59 KB) 31 Jul 2019 travel.doc(272 KB) Agenda 31 Jul 2019 00_plenary_agenda.doc(152 KB) 31 Jul 2019 01-juryboard.doc(34 KB) 31 Jul 2019 01a-jury_reports_2006.doc(49 KB) 31 Jul 2019 02-pr.doc(156 KB) 31 Jul 2019 03-eds.doc(202 KB) 31 Jul 2019 04-records.doc(117 KB) 31 Jul 2019 05-safety.doc(172 KB) 31 Jul 2019 06-csc.doc(180 KB) 31 Jul 2019 07-rsc.doc(203 KB) 31 Jul 2019 07a-s1_amendments.doc(81 KB) 31 Jul 2019 08-online_contest.doc(162 KB) 31 Jul 2019 09-points.doc(164 KB) 31 Jul 2019 10a-admin.xls(27 KB) 31 Jul 2019 10b-budget.xls(26 KB) 31 Jul 2019 10c-inventory.xls(77 KB) 31 Jul 2019 11a-belgium.doc(30 KB) 31 Jul 2019 12-cia-championship_calendar.doc(135 KB) 31 Jul 2019 14-officials.doc(204 KB) 31 Jul 2019 15-eas-report-2006.doc(26 KB) 31 Jul 2019 2007-agenda.zip(1334 KB) 31 Jul 2019 21-stats-2006.doc(94 KB) 31 Jul 2019 22-room-schedule.doc(48 KB) 31 Jul 2019 23-hungary-letter.doc(20 KB) 31 Jul 2019 25-india-letter.doc(19 KB) 2006 Dmitrov (RUS), 10-11 March 2006 31 Jul 2019 4crowns.doc(29 KB) 31 Jul 2019 ax06draft.doc(427 KB) 31 Jul 2019 axg06draft.doc(345 KB) 31 Jul 2019 cia-meeting-tracking-presentation-2006.pdf(101 KB) 31 Jul 2019 excursion.doc(27 KB) 31 Jul 2019 kristall.doc(29 KB) 31 Jul 2019 prep06axv1.doc(124 KB) 31 Jul 2019 prep06axv1mdb.doc(198 KB) 31 Jul 2019 prep06axv4.doc(285 KB) 31 Jul 2019 swg-disc.doc(38 KB) 31 Jul 2019 traveling.doc(476 KB) Agenda 31 Jul 2019 cia-meeting-agenda-2006.zip(725 KB) 31 Jul 2019 00-plenary-agenda.doc(71 KB) 31 Jul 2019 01-juryboard_1.doc(34 KB) 31 Jul 2019 02-prc.doc(182 KB) 31 Jul 2019 03-epas.doc(57 KB) 31 Jul 2019 04-records_1.doc(89 KB) 31 Jul 2019 05-safety_1.doc(72 KB) 31 Jul 2019 06-csc_1.doc(23 KB) 31 Jul 2019 07a-statutes.doc(92 KB) 31 Jul 2019 07b-aa-am_wg.doc(19 KB) 31 Jul 2019 07d-bx-wg.doc(20 KB) 31 Jul 2019 07e-swg.doc(20 KB) 31 Jul 2019 08-tracking_wg.doc(53 KB) 31 Jul 2019 09-structure-wg.doc(185 KB) 31 Jul 2019 10-eas.doc(31 KB) 31 Jul 2019 11-points_for_action.doc(21 KB) 31 Jul 2019 12a-accounts.xls(43 KB) 31 Jul 2019 12b-budget.xls(22 KB) 31 Jul 2019 12c-inventory_2005.xls(59 KB) 31 Jul 2019 13-fai_conference_report.doc(32 KB) 31 Jul 2019 14a-mon-gas-belgium.doc(26 KB) 31 Jul 2019 14b-mon-hotair-usa.doc(27 KB) 31 Jul 2019 14c-mon-rozier-usa.doc(22 KB) 31 Jul 2019 14d-mon-contribution-usa.doc(315 KB) 31 Jul 2019 15-championship-calendar.xls(20 KB) 31 Jul 2019 2006agenda.zip(725 KB) 31 Jul 2019 21-room-schedule.xls(18 KB) Minutes 31 Jul 2019 00-plenary_minutes.doc(431 KB) 31 Jul 2019 01-bureau_actions_2006.doc(51 KB) 31 Jul 2019 02-presidents_report.doc(33 KB) 31 Jul 2019 cia-meeting-minutes-2006.zip(1366 KB) 31 Jul 2019 03-fai_report.doc(35 KB) 31 Jul 2019 04-georgia_report_2006.doc(23 KB) 31 Jul 2019 05-structure-wg-minutes.doc(88 KB) 31 Jul 2019 06-jury_board_minutes.doc(39 KB) 31 Jul 2019 07-officials_minutes.doc(37 KB) 31 Jul 2019 08-prc_minutes.doc(191 KB) 31 Jul 2019 09-epas_minutes.doc(42 KB) 31 Jul 2019 10-records_minutes.doc(96 KB) 31 Jul 2019 11-safety.doc(58 KB) 31 Jul 2019 12-csc-minutes.doc(30 KB) 31 Jul 2019 13-rules-minutes.doc(491 KB) 31 Jul 2019 14a-tracking_wg_minutes.pdf(374 KB) 31 Jul 2019 14b-fai_woc_ballooning_rules.pdf(43 KB) 31 Jul 2019 15-cimp_report.doc(32 KB) 31 Jul 2019 16-eas-report.doc(31 KB) 31 Jul 2019 17a-accounts-with-inventory.xls(43 KB) 31 Jul 2019 17b-budget.xls(22 KB) 31 Jul 2019 17c-inventory_2005-costed.xls(96 KB) 31 Jul 2019 2006_plenary.zip(1366 KB) 31 Jul 2019 21-jurors2006.xls(37 KB) 31 Jul 2019 22-cia-members.pdf(12 KB) 31 Jul 2019 23-points-for-action.doc(25 KB) 31 Jul 2019 24-tracking_wg_presentation_2006.pdf(101 KB) 31 Jul 2019 25-stats-for-2005.xls(110 KB) 31 Jul 2019 juries2006.doc(74 KB) Stats 31 Jul 2019 00_cia_stats_totals_2005-cleaned.xls(108 KB) 31 Jul 2019 00_cia_stats_totals_2005-includes-old.xls(110 KB) 31 Jul 2019 00_cia_stats_totals_2005_march_2.xls(110 KB) 31 Jul 2019 00_cia_stats_totals_2005.xls(110 KB) 31 Jul 2019 00_multi-year_totals.xls(17 KB) 31 Jul 2019 20-stats_1.doc(107 KB) 31 Jul 2019 austria_stats.doc(93 KB) 31 Jul 2019 belgium_stats_2005.doc(96 KB) 31 Jul 2019 brazil_2005.doc(118 KB) 31 Jul 2019 brazil_stats.doc(93 KB) 31 Jul 2019 canada_2005.doc(101 KB) 31 Jul 2019 china_stats.doc(99 KB) 31 Jul 2019 czech_republic_stats.doc(82 KB) 31 Jul 2019 denmark_stats.doc(115 KB) 31 Jul 2019 france_stats.doc(122 KB) 31 Jul 2019 germany_stats.doc(109 KB) 31 Jul 2019 hungary_stats.doc(110 KB) 31 Jul 2019 japan_stats.doc(114 KB) 31 Jul 2019 korea_stats.doc(112 KB) 31 Jul 2019 luxembourg_stats.doc(82 KB) 31 Jul 2019 netherlands_stats_2005.doc(109 KB) 31 Jul 2019 poland_stats.doc(53 KB) 31 Jul 2019 russia_stats.doc(132 KB) 31 Jul 2019 slovak_republic_stats.doc(84 KB) 31 Jul 2019 spain_2005.doc(145 KB) 31 Jul 2019 stats_questionnaire_2005.doc(114 KB) 31 Jul 2019 sweden_2005.doc(113 KB) 31 Jul 2019 switzerland_stats.doc(98 KB) 31 Jul 2019 uk_stats.doc(139 KB) 31 Jul 2019 ukraine_stats_2005.doc(84 KB) 31 Jul 2019 usa_stats_2005.doc(111 KB) 2005 Lausanne (SUI), 11-12 March 2005 31 Jul 2019 05axv2.doc(77 KB) 31 Jul 2019 05axv4.doc(161 KB) 31 Jul 2019 aulac.doc(43 KB) 31 Jul 2019 carlton.doc(44 KB) 31 Jul 2019 cia-meeting-structure-presentation.ppt(330 KB) 31 Jul 2019 register_1.doc(22 KB) 31 Jul 2019 savoy.doc(43 KB) Agenda 31 Jul 2019 cia-meeting-agenda-2005.zip(926 KB) 31 Jul 2019 00-plenary-2005.doc(115 KB) 31 Jul 2019 01-jury.doc(67 KB) 31 Jul 2019 02-pr_1.doc(64 KB) 31 Jul 2019 03-epas_1.doc(172 KB) 31 Jul 2019 04-records.doc(0 KB) 31 Jul 2019 05-safety_2.doc(66 KB) 31 Jul 2019 06-csc_2.doc(63 KB) 31 Jul 2019 07-rules.doc(127 KB) 31 Jul 2019 08-bid.doc(75 KB) 31 Jul 2019 09-specwg.doc(192 KB) 31 Jul 2019 10-eas_1.doc(73 KB) 31 Jul 2019 11-points.doc(69 KB) 31 Jul 2019 12-accounts.xls(27 KB) 31 Jul 2019 12-budget.xls(21 KB) 31 Jul 2019 13-budget.xls(28 KB) 31 Jul 2019 13-fai-conf.doc(76 KB) 31 Jul 2019 14a-ax.pdf(132 KB) 31 Jul 2019 14b-aa.pdf(132 KB) 31 Jul 2019 14c-sport.pdf(137 KB) 31 Jul 2019 14d-sport.doc(70 KB) 31 Jul 2019 14e-sport.doc(29 KB) 31 Jul 2019 14f-airsport.doc(35 KB) 31 Jul 2019 20-stats_2.doc(102 KB) 31 Jul 2019 21-rooms-v3.doc(38 KB) 31 Jul 2019 21-rooms.doc(0 KB) Back up area 31 Jul 2019 04-officials.doc(466 KB) 31 Jul 2019 05-pr.doc(23 KB) 31 Jul 2019 06-epas.doc(78 KB) 31 Jul 2019 07-records.doc(25 KB) 31 Jul 2019 08-safety.doc(77 KB) 31 Jul 2019 09-csc.doc(36 KB) 31 Jul 2019 10-rules.doc(158 KB) 31 Jul 2019 13-specwg.doc(200 KB) 31 Jul 2019 14_event_jury-2005.xls(18 KB) 31 Jul 2019 20-jurors2005.xls(38 KB) 31 Jul 2019 bureau_meeting_notes.doc(29 KB) 31 Jul 2019 gb_mer_2005.doc(228 KB) 31 Jul 2019 jurors2005.xls(37 KB) Minutes 31 Jul 2019 cia-meeting-minutes-2005.zip(2132 KB) 31 Jul 2019 00-plenary.doc(300 KB) 31 Jul 2019 01-bureau-actions.doc(136 KB) 31 Jul 2019 02-jury.doc(34 KB) 31 Jul 2019 03-officials.doc(24 KB) 31 Jul 2019 04-pr.doc(21 KB) 31 Jul 2019 05-epas.doc(45 KB) 31 Jul 2019 06-records.doc(40 KB) 31 Jul 2019 07-safety.doc(52 KB) 31 Jul 2019 08-csc.doc(34 KB) 31 Jul 2019 09-rules.doc(135 KB) 31 Jul 2019 10-tracking.pdf(88 KB) 31 Jul 2019 11-structure.doc(61 KB) 31 Jul 2019 12-cimp.doc(51 KB) 31 Jul 2019 13-eas.doc(60 KB) 31 Jul 2019 14-accounts.xls(22 KB) 31 Jul 2019 21-jurors.xls(37 KB) 31 Jul 2019 22-fai_members.doc(33 KB) 31 Jul 2019 23-points.doc(56 KB) 31 Jul 2019 24-epas-protocol.doc(120 KB) 31 Jul 2019 25-cylinders.doc(19 KB) 31 Jul 2019 27-structure.doc(153 KB) 31 Jul 2019 28-structure.ppt(330 KB) 31 Jul 2019 29-stats-2004.xls(109 KB) Stats 31 Jul 2019 20-stats_3.doc(102 KB) 31 Jul 2019 2004-stats-australia.pdf(116 KB) 30 Aug 2017 2004-stats-austria-p1.jpg(1069 KB) 30 Aug 2017 2004-stats-austria-p2.jpg(1092 KB) 30 Aug 2017 2004-stats-austria-p3.jpg(851 KB) 30 Aug 2017 2004-stats-belgium-p1.jpg(1159 KB) 30 Aug 2017 2004-stats-belgium-p2.jpg(1160 KB) 30 Aug 2017 2004-stats-belgium-p2.jpg(1160 KB) 30 Aug 2017 2004-stats-belgium-p3.jpg(939 KB) 31 Jul 2019 2004-stats-canada.doc(101 KB) 31 Jul 2019 2004-stats-czech.doc(106 KB) 31 Jul 2019 2004-stats-denmark.doc(90 KB) 31 Jul 2019 2004-stats-finland.pdf(481 KB) 31 Jul 2019 2004-stats-france.doc(209 KB) 31 Jul 2019 2004-stats-ger1.doc(53 KB) 31 Jul 2019 2004-stats-great_britain.doc(113 KB) 31 Jul 2019 2004-stats-hungary.doc(110 KB) 31 Jul 2019 2004-stats-japan.doc(104 KB) 31 Jul 2019 2004-stats-kenya.doc(32 KB) 30 Aug 2017 2004-stats-korea-p1.jpg(274 KB) 30 Aug 2017 2004-stats-korea-p2.jpg(251 KB) 30 Aug 2017 2004-stats-korea-p3.jpg(179 KB) 31 Jul 2019 2004-stats-luxembourg.doc(88 KB) 31 Jul 2019 2004-stats-poland.doc(113 KB) 31 Jul 2019 2004-stats-russia.doc(118 KB) 31 Jul 2019 2004-stats-slovak.doc(107 KB) 30 Aug 2017 2004-stats-slovenia-p1.jpg(1074 KB) 30 Aug 2017 2004-stats-slovenia-p2.jpg(1036 KB) 30 Aug 2017 2004-stats-slovenia-p3.jpg(798 KB) 30 Aug 2017 2004-stats-south-africa-p1.jpg(665 KB) 30 Aug 2017 2004-stats-south-africa-p2.jpg(623 KB) 30 Aug 2017 2004-stats-south-africa-p3.jpg(596 KB) 31 Jul 2019 2004-stats-sweden.doc(112 KB) 31 Jul 2019 2004-stats-switzerland.doc(123 KB) 31 Jul 2019 2004-stats-ukraine.doc(90 KB) 30 Aug 2017 2004-stats-united_states-p1.jpg(642 KB) 30 Aug 2017 2004-stats-united_states-p2.jpg(600 KB) 30 Aug 2017 2004-stats-united_states-p3.jpg(358 KB) 31 Jul 2019 29-stats-2004_1.xls(109 KB) 2004 Debrecen (HUN), 12-13 March 2004 31 Jul 2019 2003-sta.doc(53 KB) 31 Jul 2019 accounts.xls(19 KB) 31 Jul 2019 ax-draf.doc(354 KB) 31 Jul 2019 ax04v2.doc(175 KB) 31 Jul 2019 ax04v3.doc(234 KB) 31 Jul 2019 ax04v4.doc(315 KB) 31 Jul 2019 axconcl.doc(335 KB) 31 Jul 2019 bud-deb.doc(53 KB) 31 Jul 2019 budget.doc(155 KB) 31 Jul 2019 bureau.doc(136 KB) 31 Jul 2019 cia-meeting-minutes-2004.zip(724 KB) 31 Jul 2019 csc.doc(34 KB) 31 Jul 2019 deb-bud.doc(49 KB) 31 Jul 2019 delegate.doc(34 KB) 31 Jul 2019 donation.doc(31 KB) 31 Jul 2019 eas.doc(24 KB) 31 Jul 2019 epas.doc(164 KB) 31 Jul 2019 gpsloger.pdf(224 KB) 31 Jul 2019 jurors.xls(37 KB) 31 Jul 2019 jurybord.doc(25 KB) 31 Jul 2019 minutes.doc(439 KB) 31 Jul 2019 observer.doc(131 KB) 31 Jul 2019 points.doc(24 KB) 31 Jul 2019 pr.doc(130 KB) 31 Jul 2019 records.doc(28 KB) 31 Jul 2019 register_2.doc(21 KB) 31 Jul 2019 rules.doc(94 KB) 31 Jul 2019 safety.doc(46 KB) 31 Jul 2019 schedul.doc(25 KB) 31 Jul 2019 stats.pdf(87 KB) 31 Jul 2019 strand.doc(32 KB) 31 Jul 2019 swg.doc(164 KB) 31 Jul 2019 thermal.doc(29 KB) 31 Jul 2019 tracking.pdf(34 KB) 31 Jul 2019 trackrep.pdf(158 KB) 31 Jul 2019 wada.doc(32 KB) 31 Jul 2019 wag.doc(164 KB) Agenda 31 Jul 2019 accounts.doc(169 KB) 31 Jul 2019 accounts_1.xls(18 KB) 31 Jul 2019 bidding.doc(32 KB) 31 Jul 2019 budget_1.doc(156 KB) 31 Jul 2019 cimpmin.doc(33 KB) 31 Jul 2019 csc_1.doc(21 KB) 31 Jul 2019 delegates.doc(33 KB) 31 Jul 2019 epas_1.doc(27 KB) 31 Jul 2019 fai-gc.doc(189 KB) 31 Jul 2019 cia-meeting-agenda-2004.zip(298 KB) 31 Jul 2019 hall.doc(24 KB) 31 Jul 2019 jurors.doc(56 KB) 31 Jul 2019 jury.doc(23 KB) 31 Jul 2019 montgolf.pdf(2025 KB) 31 Jul 2019 notice.doc(155 KB) 31 Jul 2019 observer_1.doc(21 KB) 31 Jul 2019 plenary.doc(89 KB) 31 Jul 2019 points_1.doc(24 KB) 31 Jul 2019 pr-d.doc(20 KB) 31 Jul 2019 records_1.doc(41 KB) 31 Jul 2019 rsc.doc(58 KB) 31 Jul 2019 safety_1.doc(42 KB) 31 Jul 2019 schedule.xls(16 KB) 31 Jul 2019 statform.doc(85 KB) 31 Jul 2019 swg1.doc(27 KB) 31 Jul 2019 wag_1.doc(28 KB) 2003 Cernay-la-Ville (FRA), 7-8 March 2003 31 Jul 2019 accounts_2.xls(23 KB) 31 Jul 2019 budget_2.doc(157 KB) 31 Jul 2019 bureau_1.doc(21 KB) 31 Jul 2019 cia-meeting-minutes-2003.zip(383 KB) 31 Jul 2019 csc_2.doc(29 KB) 31 Jul 2019 delegates_1.doc(34 KB) 31 Jul 2019 elections.xls(34 KB) 31 Jul 2019 epas_2.doc(170 KB) 31 Jul 2019 juries.xls(20 KB) 31 Jul 2019 jurors_1.xls(25 KB) 31 Jul 2019 jury_1.doc(30 KB) 31 Jul 2019 minutes_1.doc(308 KB) 31 Jul 2019 nominate.doc(24 KB) 31 Jul 2019 observer_2.doc(25 KB) 31 Jul 2019 points_2.doc(25 KB) 31 Jul 2019 prc.doc(32 KB) 31 Jul 2019 rules_1.doc(81 KB) 31 Jul 2019 safety_2.doc(83 KB) 31 Jul 2019 sporting.doc(60 KB) 31 Jul 2019 stats.xls(105 KB) 31 Jul 2019 tracking_.doc(25 KB) 31 Jul 2019 tracking.doc(25 KB) 31 Jul 2019 wag_2.doc(163 KB) Agenda 31 Jul 2019 accounts_3.xls(18 KB) 31 Jul 2019 bradley.doc(20 KB) 31 Jul 2019 budget_3.doc(155 KB) 31 Jul 2019 cia-meeting-agenda-2003.zip(292 KB) 31 Jul 2019 colting.doc(61 KB) 31 Jul 2019 csc_3.doc(30 KB) 31 Jul 2019 delegates_2.doc(36 KB) 31 Jul 2019 eas_1.doc(25 KB) 31 Jul 2019 ekdahl.doc(29 KB) 31 Jul 2019 epas_3.doc(28 KB) 31 Jul 2019 johnson.doc(24 KB) 31 Jul 2019 jurors_1.doc(47 KB) 31 Jul 2019 jurybord_1.doc(23 KB) 31 Jul 2019 leys.doc(22 KB) 31 Jul 2019 motion.doc(21 KB) 31 Jul 2019 notice_1.doc(155 KB) 31 Jul 2019 observer_3.doc(23 KB) 31 Jul 2019 plenary_1.doc(78 KB) 31 Jul 2019 points_3.doc(28 KB) 31 Jul 2019 prc_1.doc(26 KB) 31 Jul 2019 records_2.doc(23 KB) 31 Jul 2019 rooms.xls(18 KB) 31 Jul 2019 rules_2.doc(56 KB) 31 Jul 2019 safety_3.doc(48 KB) 31 Jul 2019 stats.doc(85 KB) 31 Jul 2019 tracking_1.doc(35 KB) 31 Jul 2019 wag_3.doc(27 KB) 2002 Riga (LAT), 8-9 March 2002 31 Jul 2019 accounts_01.xls(24 KB) 31 Jul 2019 bureau_actions.doc(153 KB) 31 Jul 2019 cia-meeting-agenda-2002.zip(325 KB) 31 Jul 2019 cia-meeting-minutes-2002.zip(292 KB) 31 Jul 2019 ciamin02.doc(264 KB) 31 Jul 2019 fai_members_2002.xls(67 KB) 31 Jul 2019 jurors2002.xls(35 KB) 31 Jul 2019 minutes_comp_sc.doc(39 KB) 31 Jul 2019 minutes_epas.doc(37 KB) 31 Jul 2019 minutes_jb.doc(32 KB) 31 Jul 2019 minutes_observer_sc.doc(26 KB) 31 Jul 2019 minutes_plenary_2002.doc(264 KB) 31 Jul 2019 minutes_prd_sc.doc(12 KB) 31 Jul 2019 minutes_records_review_sc.doc(37 KB) 31 Jul 2019 minutes_rules_sc.doc(99 KB) 31 Jul 2019 minutes_safety_sc.doc(45 KB) 31 Jul 2019 minutes_tracking_wg.doc(39 KB) 31 Jul 2019 minutes_wag.doc(156 KB) 31 Jul 2019 points_for_action.doc(34 KB) 31 Jul 2019 report_cimp.doc(33 KB) 31 Jul 2019 report_eas.doc(31 KB) 31 Jul 2019 report_fai_airspace_edu.doc(33 KB) 31 Jul 2019 report_whabc_2005.doc(25 KB) 31 Jul 2019 statistics.xls(21 KB) 2001 Bern (SUI), 2-3 March 2001 31 Jul 2019 agenda01.zip(306 KB) 31 Jul 2019 attach1.xls(19 KB) 31 Jul 2019 attach2.xls(16 KB) 31 Jul 2019 attach3.xls(45 KB) 31 Jul 2019 attach4.xls(47 KB) 31 Jul 2019 attach5.doc(30 KB) 31 Jul 2019 cia-meeting-agenda-2001.zip(306 KB) 31 Jul 2019 cia-meeting-minutes-2001.zip(220 KB) 31 Jul 2019 mt-ap01.doc(0 KB) 31 Jul 2019 mt-ap02.doc(23 KB) 31 Jul 2019 mt-ap03.doc(27 KB) 31 Jul 2019 mt-ap04.doc(23 KB) 31 Jul 2019 mt-ap05.doc(38 KB) 31 Jul 2019 mt-ap06.doc(31 KB) 31 Jul 2019 mt-ap07.doc(34 KB) 31 Jul 2019 mt-ap08.doc(78 KB) 31 Jul 2019 mt-ap09.doc(27 KB) 31 Jul 2019 mt-ap10.doc(25 KB) 31 Jul 2019 mt-ap11a.doc(39 KB) 31 Jul 2019 mt-ap11b.doc(22 KB) 31 Jul 2019 mt-ap11c.doc(23 KB) 31 Jul 2019 mt-ap11d.doc(33 KB) 31 Jul 2019 mt-ap12.doc(22 KB) 31 Jul 2019 mt-ap13.doc(23 KB) 31 Jul 2019 mt-ap14.xls(26 KB) 31 Jul 2019 mt-ap15.doc(37 KB) 31 Jul 2019 mt-ap16.doc(27 KB) 31 Jul 2019 mt-ap17.doc(36 KB) 31 Jul 2019 mt-at1.doc(32 KB) 31 Jul 2019 mt-at2.doc(21 KB) 31 Jul 2019 mt-at3.doc(25 KB) 31 Jul 2019 mt-at4.xls(27 KB) 31 Jul 2019 mt-at5.doc(23 KB) 31 Jul 2019 mt-at6a.xls(23 KB) 31 Jul 2019 mt-at6b.xls(25 KB) 31 Jul 2019 reg.doc(28 KB) 2000 Thessaloniki (GRE), 3-4 March 2000 31 Jul 2019 ag-apn13.xls(20 KB) 31 Jul 2019 ag-apn6.doc(42 KB) 31 Jul 2019 ag-apn6.xls(53 KB) 31 Jul 2019 ag-apn9.doc(37 KB) 31 Jul 2019 ag-apn9a.doc(85 KB) 31 Jul 2019 ag-att1.xls(18 KB) 31 Jul 2019 ag-att2.xls(15 KB) 31 Jul 2019 ag-att3.xls(18 KB) 31 Jul 2019 ag-att4.xls(17 KB) 31 Jul 2019 ag-att5.xls(19 KB) 31 Jul 2019 cia-meeting-agenda-2000.zip(275 KB) 31 Jul 2019 cia-meeting-minutes-2000.zip(354 KB) 31 Jul 2019 ciamin00.doc(267 KB) 1999 Lausanne (SUI), 5-6 March 1999 31 Jul 2019 cia-meeting-minutes-1999.zip(252 KB) 1998 Venice (ITA), 6-7 March 1998 31 Jul 2019 cia-meeting-minutes-1998.doc(254 KB) 1997 Istanbul (TUR), 7-8 March 1997 31 Jul 2019 cia-meeting-minutes-1997.doc(184 KB) 1996 Vienna (AUT), 8-9 March 1996 31 Jul 2019 cia-meeting-minutes-1996.doc(218 KB) CIA Newsletters 10 Nov 2025 cia_newsletter_2025_small.pdf(3989 KB) 10 Nov 2025 2024autumnnewsletter.pdf(2364 KB) 10 Nov 2025 2023_autumn_newsletter_final.pdf(4875 KB) 02 Dec 2022 2022autumnnewsletter.pdf(4058 KB) 11 Nov 2021 CIA Autumn 2021 newsletter(2589 KB) 11 Nov 2021 CIA Autumn 2020 newsletter(11120 KB) 02 Dec 2019 CIA Autumn 2019 newsletter(2778 KB) 17 Apr 2019 CIA Autumn 2018 newsletter(3096 KB) 17 Apr 2019 CIA Autumn 2017 newsletter(1023 KB) 30 Aug 2017 CIA Autumn 2016 Newsletter(2953 KB) 30 Aug 2017 CIA Autumn 2015 Newsletter(813 KB) 30 Aug 2017 CIA Autumn 2014 Newsletter(775 KB) 30 Aug 2017 CIA Autumn 2013 Newsletter(1428 KB) 30 Aug 2017 CIA Autumn 2012 Newsletter(1790 KB) 30 Aug 2017 CIA Autumn 2011 Newsletter(1524 KB) 30 Aug 2017 CIA Autumn 2010 Newsletter(700 KB) 30 Aug 2017 CIA Autumn 2009 Newsletter(782 KB) 30 Aug 2017 CIA Autumn 2008 Newsletter(2339 KB) 30 Aug 2017 CIA Autumn 2007 Newsletter(146 KB) 30 Aug 2017 CIA Autumn 2006 Newsletter(1047 KB) 30 Aug 2017 CIA Autumn 2005 Newsletter(199 KB) 30 Aug 2017 CIA Autumn 2004 Newsletter(1816 KB) 30 Aug 2017 CIA Autumn 2003 Newsletter(513 KB) 30 Aug 2017 CIA Autumn 2002 Newsletter(356 KB) 30 Aug 2017 CIA Autumn 2001 Newsletter (PDF)(387 KB) 30 Aug 2017 CIA Autumn 2016 Newsletter(350 KB) 30 Aug 2017 CIA Autumn 2000 Newsletter(190 KB) 30 Aug 2017 CIA Spring 2000 Newsletter(143 KB) 30 Aug 2017 CIA Autumn 1999 Newsletter(167 KB) 30 Aug 2017 CIA Spring 1999 Newsletter(151 KB) 30 Aug 2017 CIA Autumn 1998 Newsletter(104 KB) 30 Aug 2017 CIA Spring 1998 Newsletter(125 KB) 30 Aug 2017 CIA Autumn 1997 Newsletter(222 KB) 30 Aug 2017 CIA Summer 1997 Newsletter(312 KB) 30 Aug 2017 CIA Autumn 1996 Newsletter(169 KB) 30 Aug 2017 CIA Spring 1996 Newsletter(186 KB) Event Planning and Sanction Documents Events Sanction Documents 29 Aug 2017 CIA-Sporting-Event-Sanction(154 KB) 2026 05 Nov 2025 worlds_2026_-_final.pdf(277 KB) 14 Apr 2022 attachment_eds_canada_intention_to_bid_worlds_2026.pdf(57 KB) 2025 16 Mar 2023 sanction_application_23rd_european_championship.pdf(241 KB) 12 Jan 2025 cia-event-sanctionapplication_form_v2.042.docx(76 KB) 2024 18 Apr 2022 worlds-2024-szeged_final.pdf(207 KB) 14 Apr 2022 attachment_eds_spain_nac_letter.pdf(372 KB) 14 Apr 2022 attachment_eds_hungary_nac_letter.pdf(2153 KB) 12 Jan 2025 2024_cat2_austria.pdf(274 KB) 12 Jan 2025 2024_cat2_slovenia.pdf(322 KB) 12 Jan 2025 coupe_deurope_2024.pdf(216 KB) 12 Jan 2025 12-12-23_2024_gordon_bennett_final_1.3.pdf(281 KB) 2023 14 Apr 2022 6th_jwc_2023_final.pdf(273 KB) 14 Apr 2022 2023_wwc_final.pdf(286 KB) 19 Apr 2020 attachment_18_intention_to_bid_grudziadz_ww2023.pdf(111 KB) 19 Apr 2020 attachment_19_intention_to_bid_wloclawek_europeans2023.pdf(109 KB) 2022 14 Apr 2022 2022_worlds_final.pdf(348 KB) 14 Apr 2022 2022_gordon_bennett_final.pdf(408 KB) 14 Apr 2022 cecup-2022-final.pdf(198 KB) 14 Apr 2022 coupe_du_monde_des_dames_2022_final.pdf(176 KB) 21 Feb 2019 Letter of Intent - FAI World Hot Air Balloon Championship 2022 - Poland(57 KB) 19 Apr 2020 Intention to Bid World 2022 Spain / Mallorca(427 KB) 19 Apr 2020 Intention to bid Worlds 2022 Lithuania(1266 KB) 2021 21 Feb 2019 4th Women’s World Hot Air Ballooning Championships - Australia(39 KB) 21 Feb 2019 22nd FAI European Hot Air Balloon Championship 2021 and 6th Szeged Balloon Cup - Hungary(41 KB) 2020 25 Mar 2018 24th FAI World Hot Air Balloon Championship 2020 - Slovenia(136 KB) 25 Mar 2018 4th FAI Women's World Hot Air Balloon Championship 2020 - Croatia(101 KB) 21 Feb 2019 Sporting Event 4th Central European Cup and 5th Szeged Balloon Cup - Hungary(42 KB) 21 Feb 2019 4th FAI WOMEN’S WORLD HOT AIR BALLOON CHAMPIONSHIP 2020 - Poland(36 KB) 21 Feb 2019 Letter of Intent 64th GB 2020 - Poland(56 KB) 2019 25 Mar 2018 21st FAI European Hot Air Balloon Championship 2020 - Spain(132 KB) 21 Feb 2019 Sporting Event CE Cup Sanction Application 2019 - Hungary(41 KB) 21 Feb 2019 Sporting Event Slovenian Open National Hot Air Balloon Championship(53 KB) 21 Feb 2019 Sporting Event 21st COUPE D'EUROPE DE MONTGOLFIERES & 26th COUPE DU MONDE DES DAMES - France(371 KB) 2018 29 Aug 2017 2018 AX Wolrd HAB Championship - Hungary(343 KB) 29 Aug 2017 2018 AX World HAB Championship - Austria(99 KB) 29 Aug 2017 2018 AX World HAB Championship - Poland(51 KB) 29 Aug 2017 2018 AX Womens World HAB Championship - Poland(40 KB) 29 Aug 2017 2018 AX Junior World HAB Championship - Italy - withdrawn(44 KB) 29 Aug 2017 Intention to bid 2018 WHABC Wloclavek,Poland(301 KB) 31 Jul 2019 2018 4th FAI Junior World HAB Championship - Woclawek, Poland(142 KB) 2017 29 Aug 2017 20th FAI European Hot Air Balloon Championship - Brissac, France(105 KB) 29 Aug 2017 20th FAI European Hot Air Balloon Championship addendum - Brissac, France(93 KB) 29 Aug 2017 20th FAI European Hot Air Balloon Championship - Debrecen, Hungary(190 KB) 29 Aug 2017 20th FAI European Hot Air Balloon Championship - Varazdin, Croatia(27 KB) 29 Aug 2017 4th FAI Women's Europen HAB Championship Leszno, Poland(144 KB) 2016 29 Aug 2017 2016 AX CAT1 Luxemburg Trophy(45 KB) 29 Aug 2017 60th Cuope Aeronautique Gordon Bennett 2016 - Gladbeck (Germany)(46 KB) 29 Aug 2017 3rd FAI European Hot Air Airship Championship 2016 - Bad Wiessee (Germany)(42 KB) 29 Aug 2017 3rd FAI Junior World Hot Air Balloon Championship - 2016 Marijanpole, Lithuania(194 KB) 29 Aug 2017 2nd FAI Women's World HAB Championship Birstonas, Lithuania(45 KB) 29 Aug 2017 ***** SANCTION APPLICATIONS *****(12 KB) 29 Aug 2017 22nd FAI World Hot AIr Balloon Championship - Saga, Japan (28 Oct - 7 Nov, 2016) version 20160115(49 KB) 29 Aug 2017 22nd FAI World Hot AIr Balloon Championship - Saga, Japan (28 Oct - 7 Nov, 2016) - BID(195 KB) 29 Aug 2017 22nd_fai_world_hot_air_balloon_championship_-_saga_japan_28_oct_-_7_nov_2016_-_letter_of_intent(145 KB) 29 Aug 2017 22nd FAI World Hot AIr Balloon Championship - Saga, Japan (28 Oct - 7 Nov, 2016) - Letter of Support(57 KB) 2015 29 Aug 2017 59th Coupe Aeronautique Gordon Bennett - Pau (France)(48 KB) 29 Aug 2017 Pre-World HAB Event Saga, Japan(211 KB) 29 Aug 2017 ***** SANCTIONS APPROVED *****(12 KB) 29 Aug 2017 19th FAI European Hot Air Balloon Championship, Debrecen, Hungary (11 - 17 August 2015)(184 KB) 29 Aug 2017 19th FAI European Hot Air Balloon Championship, Debrecen, Hungary (11 - 17 August 2015) - Letter of Intent(277 KB) 29 Aug 2017 3rd FAI Womens European Hot Air Balloon Championship, Drenthe, Netherlands (15 - 19 September 2015)(188 KB) 29 Aug 2017 *** SANCTION APPLICATIONS ***(12 KB) 2014 29 Aug 2017 ***** SANCTIONS APPROVED *****(12 KB) 29 Aug 2017 21st FAI World Hot Air Balloon Championship - Rio Claro, Brazil (19 - 27 July 2014)(274 KB) 29 Aug 2017 58th Coupe Aeronautique Gordon Bennett, Vichy, France (30 Aug - 7 Sept 2014)(183 KB) 29 Aug 2017 58th Coupe Aeronautique Gordon Bennett, Vichy, France (30 Aug - 7 Sept 2014) - Letter of Intent(168 KB) 29 Aug 2017 2nd FAI Junior World Hot Air Balloon Championship, Vichy, France (31 Aug - 6 Sept 2014)(185 KB) 29 Aug 2017 2nd FAI Junior World Hot Air Balloon Championship, Vichy, France (31 Aug - 6 Sept 2014)-Letter of Intent(170 KB) 29 Aug 2017 1st FAI Women's World Hot Air Balloon Championship - Leszno, Poland (8 - 13 Sept 2014)(163 KB) 29 Aug 2017 1st FAI Women's World Hot Air Balloon Championship - Leszno, Poland (8 - 13 Sept 2014) - NAC Approval(488 KB) 29 Aug 2017 *** CIA SANCTION APPLICATIONS ***(12 KB) 29 Aug 2017 2014 Tochigi Hot Air Balloon International Championship, Tochigi, Japan (19 - 24 Nov 2014)(191 KB) 29 Aug 2017 21st FAI World Hot Air Balloon Championship - Birstonas, Lithuania (16 - 23 August 2014)-2013 Letter(972 KB) 29 Aug 2017 21st FAI World Hot Air Balloon Championship - Birstonas, Lithuania (16 - 23 August 2014) - 2012 BID(205 KB) 29 Aug 2017 *** CIA SPORTING EVENT SANCTION APPLICATIONS***(12 KB) 29 Aug 2017 2014 Canowindra International Balloon Challenge, Canowindra Australia (22 – 27, April 2014)(196 KB) 2013 29 Aug 2017 ***** SANCTIONS APPROVED *****(12 KB) 29 Aug 2017 18th Coupe d'Europe and Ladies World Cup, Mainfonds, France (1 - 4 August 2013)(55 KB) 29 Aug 2017 57e Coupe Aéronautique Gordon Bennett 2013 - Nancy, France (22 - 31 August, 2013)(44 KB) 29 Aug 2017 57th Coupe Aeronautique Gordon Bennett - France (Letter of Intent)(160 KB) 29 Aug 2017 18th European Hot Air Balloon Championship, Wloclawek, Poland (6 - 14 September 2013)(196 KB) 29 Aug 2017 18th FAI European Hot Air Balloon Championship - Wloclawek, Poland - NAC Approval(490 KB) 29 Aug 2017 2013 Tochigi Hot Air Balloon International Championship, Tochigi, Japan (19 - 24 Nov 2013)(186 KB) 29 Aug 2017 18th FAI European Hot Air Balloon Championship, Debrecen, Hungary - BID(189 KB) 29 Aug 2017 *** CIA SPORTING EVENT SANCTIONS APPROVED ***(12 KB) 29 Aug 2017 International Sport Competition of Hot Air Balloons, Kungar, Russia (29 June - 6 July 2013)(195 KB) 29 Aug 2017 2th Cup of Malahovo International Hot Air Balloon Competition, Tula, Russia (18 -24 July 2013)(209 KB) 29 Aug 2017 European Hot Air Balloon Cup - Feodosia - Air Brotherhood 2013 (28 Sept - 2 Oct 2013)(136 KB) 2012 29 Aug 2017 ***** SANCTIONS APPROVED *****(12 KB) 29 Aug 2017 1st FAI Junior World Hot Air Balloon Championship - Marijampole, Lithuania (23 -27 May, 2012)(168 KB) 29 Aug 2017 2012 Stuttgart Linde Open Gas Race (Cat 2) - Germany (4 -6 May, 2012)(194 KB) 29 Aug 2017 LUXGSM - World Balloon Trophy 2012- Echternach, Luxembourg (11 - 15 July, 2012) - APPLICATION(375 KB) 29 Aug 2017 12th Debrecen Cup International Competition - Debrecen, Hungary (8 - 12 August, 2012) - APPLICATION(186 KB) 29 Aug 2017 20th FAI World Hot Air Balloon Championship - Battle Creek, USA (18 - 25 Aug 2012)(60 KB) 29 Aug 2017 20th World Hot Air Balloon Championship - Letter of Intent USA(150 KB) 29 Aug 2017 56th Coupe Aeonautique Gordon Bennett - Toggenburg, Switzerland (31 Aug - 8 Sept, 2012) - APPLICATION(205 KB) 29 Aug 2017 2nd FAI Women's European Hot Air Balloon Championship - Frankenthal, Germany (18 - 22 Sept, 2012)(185 KB) 29 Aug 2017 2012 Tochigi Hot Air Balloon International Championship - Tochigi, Japan (20 - 25 Nov, 2012)- APPLICATION(288 KB) 29 Aug 2017 European Hot Air Balloon Cup Feodosia - Air Brotherhood 2012 (Cat 2) - Fedosia, Ukraine (8 - 12 Sept, 2012) - APPLICATION(207 KB) 29 Aug 2017 *** SANCTION APPLICATIONS ***(12 KB) 29 Aug 2017 20th World Hot Air Balloon Championship, Application France, (BID WITHDRAWN)(221 KB) 29 Aug 2017 20th World Hot Air Balloon Championship - Letter of Intent Germany (BID WITHDRAWN)(32 KB) 29 Aug 2017 20th World Hot Air Balloon Championship, Letter of Intent France (BID WITHDRAWN)(309 KB) 2011 29 Aug 2017 2011 Stuttgart Linde Open - 24 hour Gas Balloon Race - Germany (5 - 8 May, 2011)(214 KB) 29 Aug 2017 LUXGSM - World Balloon Trophy 2011 - Luxembourg (28 - 31 July, 2011)(106 KB) 29 Aug 2017 17th European Hot Air Balloon Championship - Spain (16 - 23 September, 2011)(196 KB) 29 Aug 2017 2011 Tochigi Hot Air Balloon International Championship - Japan (22 - 27 November, 2011)(296 KB) 29 Aug 2017 11th Wloclawek President's and Anwil President's Cup (CIA Sporting Event) - Poland (28 - 31 July, 2011)(79 KB) 29 Aug 2017 1st World Women's Hot Air Balloon Championship - Latvia (21 - 29 May, 2011) CANCELLED(102 KB) 2010 29 Aug 2017 1st European Women's Hot Air Balloon Championship - Alyrusa, Lithuania (16 - 20 June, 2010)(206 KB) 29 Aug 2017 1st European Women's Hot Air Balloon Championship - Alyrusa, Lithuania (16 - 20 June, 2010) RESULTS(23 KB) 29 Aug 2017 9th FAI World Hot Air Airship Championship - Dole, France (13 - 18 July, 2010)(134 KB) 29 Aug 2017 9th FAI World Hot Air Airship Championship - Dole, France (13 - 18 July, 2010) - RESULTS(17 KB) 29 Aug 2017 9th FAI World Hot Air Airship Championship - Dole, France (13 - 18 July, 2010) - INTENT(163 KB) 29 Aug 2017 LUXGSM - World Balloon Trophy 2010 -Echternach , Luxembourg (21-25 July, 2010)(106 KB) 29 Aug 2017 LUXGSM - World Balloon Trophy 2010 -Echternach , Luxembourg (21-25 July, 2010) RESULTS(20 KB) 29 Aug 2017 19th FAI World Hot Air Balloon Championship, Debrecen, Hungary (3 - 20 October, 2010)(196 KB) 29 Aug 2017 19th FAI World Hot Air Balloon Championship, Debrecen, Hungary (3 - 20 October, 2010) - RESULTS(56 KB) 29 Aug 2017 19th FAI World Hot Air Balloon Championship, Debrecen, Hungary (3 - 20 October, 2010) - RESULTS - signed(2107 KB) 29 Aug 2017 2010 Tochigi Hot Air Balloon International Championship - Tochigi, Japan (18 - 23 Nov, 2010)(292 KB) 29 Aug 2017 *** Category 2 - CIA Sporting Events ***(292 KB) 29 Aug 2017 31th BP Balloon Trophy 2010 (Cat 2) - Zell am See-Kaprun, Austria (23 - 29 January, 2010)(12 KB) 29 Aug 2017 31th BP Balloon Trophy 2010 (Cat 2) - Zell am See-Kaprun, Austria (23 - 29 January, 2010)(323 KB) 29 Aug 2017 2nd Stuttgart Linde Open – 24 hour gas balloon race (Cat 2) - Stuttgart, Germany (5 - 6 March, 2010)(213 KB) 29 Aug 2017 5th Valmiera Cup and Women's World Test Event (Cat 2) -Valmiera, Latvia (21 - 24 July, 2010)(210 KB) 29 Aug 2017 21st Ladies World Cup (Cat 2) - Wloclawek, Poland (18 - 22 August, 2010)(128 KB) 2009 29 Aug 2017 LUXGSM - World Balloon Trophy 2009 - Echternach, Luxembourg (29 July - 2 Aug, 2009)(240 KB) 29 Aug 2017 16e Coupe d'Europe de Montgolfieres & 20th Ladies' World Cup (Masashi Kakuda Trophy) - Mainfonds/Blanzac, France (30 July - 02 Aug, 2009)(213 KB) 29 Aug 2017 16th FAI European Hot Air Balloon Championship, Brissac-Quincé France (21 - 29 August, 2010)(86 KB) 29 Aug 2017 9th Debrecen Cup and Worlds Test Event International Championship - Debrecen, Hungary (30 Sept - 4 Oct, 2010)(188 KB) 29 Aug 2017 2009 Tochigi Hot Air Balloon International Championship - Tochigi, Japan (18 - 23 November 2009)(261 KB) 2008 29 Aug 2017 8th World Hot Air Airship Championship - St. Petersburg, Russia (21 - 28 June, 2008)(2039 KB) 29 Aug 2017 World Balloon Trophy - Echternach, Luxembourg (30 July - 3 Aug, 2008)(66 KB) 29 Aug 2017 18th FAI World Hot Air Balloon Championship - Hofkirchen, Austria (13 - 20 Sept, 2008)(92 KB) 29 Aug 2017 8th MOL Cup International Hot Air Balloon Championship - Debrecen, Hungary (30 Sept - 4 Oct, 2008)(107 KB) 29 Aug 2017 2008 Tochigi Hot Air Balloon International Championship, Tochigi, Japan (19 - 24 November, 2008)(124 KB) 2007 29 Aug 2017 World Balloon Trophy - Echternach, Luxembourg (25 - 29 July, 2007)(118 KB) 29 Aug 2017 15e Coupe d'Europe de Montgolfieres & 19th Ladies World Cup -Mainfonds/Blandzac, France (2 - 5 Aug, 2007)(70 KB) 29 Aug 2017 Ladies World Cup 8th Polish Balloon Cup -Wloclawek, Poland (9 - 12 Aug 2007)(127 KB) 29 Aug 2017 15th. European Hot Air Balloon Championship - Magdeburg, Germany (16 - 23 August, 2007)(116 KB) 29 Aug 2017 OMV Challenge, WC Test and Austrian Nationals- Hofkirschen, Austria (15 - 23 Sept 2007)(133 KB) 29 Aug 2017 7th MOL Cup International Hot Air Balloon Championship & Air Carnival- Debrecen, Hungary (2 - 6 Oct, 2007)(63 KB) 29 Aug 2017 2007 Tochigi Hot Air Balloon International Championship - Tochigi, Japan (20 - 26 Nov 2007)(128 KB) 29 Aug 2017 *** Category 2 - CIA Sporting Events ***(12 KB) 29 Aug 2017 7 International Cup of Moscow Region Governor (Cat 2) - Dmitrov, Russia (4 - 11 August, 2007)(67 KB) 29 Aug 2017 11th World Gas Balloons Championship (HELIUM) - Dmitrov-Moscow, Russia (2 - 8 July, 2007) - CANCELLED(68 KB) 29 Aug 2017 15th FAI European Hot Air Balloon Championship -Brissac-Quincé France (17 - 25 Aug 2007) - BID(64 KB) 29 Aug 2017 15th. European Hot Air Balloon Championship - Magdeburg, Germany (16 - 23 August, 2007) - BID(159 KB) 29 Aug 2017 15th European Hot Air Balloon Championship in Russia - Dimitrov, Russia (17 - 26 Aug 2007) - BID(60 KB) 2006 29 Aug 2017 1st FAI South American Hot Air Balloon Championship - Rio Claro, Brazio (3 - 22 June 2006)(82 KB) 29 Aug 2017 LUXGSM Trophy 2006, Echternach, Luxembourg (26 - 30 July 2006)(64 KB) 29 Aug 2017 14th Coupe d'Europe de Montgolfieres & 17th Ladies World Cup -Mainfonds-Blandzac, France (3 - 6 Aug 2006)(70 KB) 29 Aug 2017 17th Ladies World Cup & XXII Polish Championship - Wloclawek, Poland (16 - 20 Aug 2006)(79 KB) 29 Aug 2017 6th MOL Cup International Hot Air Balloon Championship - Debrecen, Hungary (20 -24 Sept 2006)(62 KB) 29 Aug 2017 17th FAI World Hot Air Balloon Championship - Motegi, Japan (16 - 26 Nov 2006)(44 KB) 29 Aug 2017 *** Category 2 - CIA Sporting Events **(12 KB) 29 Aug 2017 11-th Velikie Luki International Hot-Air Balloon Competitions (Cat 2) - Velikie Luki, Russia (3 - 11 June 2006)(73 KB) 29 Aug 2017 6th International Cup of Moscow Region Governor (Cat 2), Dimitrov, Russia (19 - 26 Aug 2006)(67 KB) 29 Aug 2017 1st Pohang International Balloon Fiesta - Pohang, South Korea (8 - 12 Nov, 2006) - CANCELLED(84 KB) 2005 29 Aug 2017 14th European Hot Air Balloon CHampionship - Debrecen, Hungary (22 - 30 May 2005)(57 KB) 29 Aug 2017 2005 MOBILUX Trophy, Echternach, Luxembourg (27 - 31 July 2005)(161 KB) 29 Aug 2017 13th Coupe d'Europe de Montgolfieres & 16th Ladies World Cup-Mainfonds-Blandzac, France (4-7 Aug 2005)(155 KB) 29 Aug 2017 2005 MOTEGI Hot Air Balloon International Championship - Motegi, Japan (22 - 28 Nov 2005)(94 KB) 29 Aug 2017 *** Category 2 - CIA Sporting Events ***(12 KB) 29 Aug 2017 10th Velikie Luki International Hot Air Balloon Competitions (Cat 2)- Velikie Luki, Russia (4 - 12 June 2005)(75 KB) 29 Aug 2017 7th Polish Balloon Cup of the Wloclawek’s President and Anwil’s President (Cat 2) -Wloclawek, Poland (17 - 21 Aug 2005)(106 KB) 29 Aug 2017 5th International Cup of Moscow Region Governor (Cat 2) - Dimitrov, Russia (21 - 28 Aug 2005)(87 KB) 2004 29 Aug 2017 4th MOL Cup International Hot Air Balloon Championship & Europeans Test Event - Debrecen, Hungary (25 - 31 May 2004)(33 KB) 29 Aug 2017 16th World Hot Air Balloon Championship - Mildura, Victoria, Australia (26 June - 3 July 2004)(30 KB) 29 Aug 2017 2004 MOBILUX Trophy, Echternach, Luxembourg (28 July - 1 Aug 2004)(34 KB) 29 Aug 2017 12e Coupe d'Europe de Montgolfieres & 15th Ladies World Cup-Mainfonds, France (29 July - 1 Aug 2004)(31 KB) 29 Aug 2017 10th FAI World Gas Balloon Championship - Bitterfeld, Germany (8 - 15 Sept 2004)(35 KB) 29 Aug 2017 2004 Motegi Hot Air Balloon International Championship - Motegi, Japan (18 - 24 Nov 2004)(32 KB) 29 Aug 2017 *** Category 2 - CIA Sporting Events ***(12 KB) 29 Aug 2017 8th International Hot Air Balloon Competiton for the “Crimea in Spring - Fedosia, Crimea, Ukraine (1 - 7 May 2004)(30 KB) 29 Aug 2017 8th Cup of Prominent Russian Aeronauts (Cat 2) - Velikie Luki, Russia (5 - 12 June 2004)(58 KB) 29 Aug 2017 5th Polish Balloon Cup of the Wloclawek’s President and Anwil’s President (Cat 2) - Wloclawek, Poland (18 - 22 Aug 2004)(33 KB) 29 Aug 2017 4th International Cup of Moscow Region Governor (Cat 2) - Dimitrov, Russia (22 - 30 Aug 2004)(29 KB) 2003 29 Aug 2017 3th MOL Cup Debrecen Hot Air Balloon International Competition - Debrecen, Hungary (20 - 26 May 2003)(52 KB) 29 Aug 2017 24th Hungarian National Championship & 4th Termofam Cup 2003 - Kecskemet, Hungary (20 - 26 June 2003)(54 KB) 29 Aug 2017 2003 Mildura International Championship - Mildura, Victoria, Australia (28 June - 4 July 2003)(52 KB) 29 Aug 2017 C.L.A. Mobilux Trophy - Echternach, Luxembourg (23 - 27 July 2003)(55 KB) 29 Aug 2017 11th Coupe d'Europe de Montgolfieres & 14th Ladies World Cup-Mainfonds, France (31 July - 3 Aug 2003)(53 KB) 29 Aug 2017 13th FAI European Hot Air Balloon Championship - Vilnius, Lithuania (8 - 17 Aug 2003)(59 KB) 29 Aug 2017 2003 Motegi Hot Air Balloon International Championship - Motegi, Japan (19 - 27 Nov 2003)(53 KB) 2002 29 Aug 2017 2nd MOL Cup Debrecen Hot Air Balloon International Competition - Debrecen, Hungary (15 - 20 May 2002)(54 KB) 29 Aug 2017 CLA. Mobilux Trophy - Bourscheid/Michellau Luxembourg (24 - 24 July 2002)(53 KB) 29 Aug 2017 10th Coupe d'Europe de Montgolfieres & 13th Ladies World Cup-Mainfonds, France (1 - 4 Aug 2002)(53 KB) 29 Aug 2017 15th FAI World Hot Air Balloon Championship - Châtellerault, France (24 - 31 Aug 2002)(52 KB) 29 Aug 2017 7th America's Challenge Gas Balloon Race - Albuquerque, USA (5 - 9 Oct 2002)(53 KB) 29 Aug 2017 2002 Motegi Hot Air Balloon International Championship - Motegi, Japan (19 - 25 Nov 2002)(55 KB) 2001 29 Aug 2017 Festival of Ballooning "Riga-800" Baltic Cup 2001 (Cat 2) - Tervete, Latvia (14 - 19 May 2001)(53 KB) 29 Aug 2017 Mobilux Trophy - Bourscheid/Michellau Luxembourg (25 - 29 July 2001)(53 KB) 29 Aug 2017 9e Coupe d'Europe de Montgolfieres & 12th Ladies World Cup-Mainfonds, France (2 - 5 Aug 2001)(53 KB) 29 Aug 2017 2001 Saga International Balloon Fiesta & 17th Pacific Cup - Saga, Japan (30 Oct - 5 Nov 2001)(53 KB) 29 Aug 2017 2001 Motegi Hot Air Balloon International Championship - Motegi, Japan (20 - 26 Nov 2001)(53 KB) 29 Aug 2017 1st South American Championship - Brasilia, Brazil (21 - 29 July 2001) - CANCELLED(53 KB) 2000 29 Aug 2017 Mobilux Trophy 2000 - Bourscheid, Luxembourg (28 July - 1 Aug 2000)(53 KB) 29 Aug 2017 12th European Hot Air Balloon Championship - Luxembourg (3 - 13 Aug 2000)(56 KB) 29 Aug 2017 --- 12th European Hot Air Balloon Championship - Luxembourg (3 - 13 Aug 2000) - PowerPoint Promotion(2343 KB) 29 Aug 2017 7th Hot Air Airship World Championship 2000 - Schielleiten, Austria (1 - 10 Sept 2000)(55 KB) 29 Aug 2017 44th Coupe Aeronautiqu Gordon Bennett - Saint. Hubert, Belgium (9 - 14 Sept 2000)(55 KB) 29 Aug 2017 2000 Motegi Hot Air Balloon International Championship - Motegi, Japan (21 - 27 Nov 2000)(55 KB) 29 Aug 2017 WAG CUP 2000 - Sevilla, Spain (4 - 9 July 2000)(54 KB) 29 Aug 2017 *** Category 2 - CIA Sporting Events ***(12 KB) 29 Aug 2017 TISZA CUP 2000 Internatonal Hot Air Balloon Competition & Hungarian Nationals (Cat 2) -Tiszaujvaros, Hungary (10 - 17 June 2000)(54 KB) 29 Aug 2017 9th Akwawit Balloon Cup & 11th Ladies World Cup (Cat 2) - Leszno, Poland (13 - 17 Sept 2000)(55 KB) 29 Aug 2017 2000 North American Championship - Rantoul, Illinois - (August 2000) - CANCELLED(52 KB) Event Planning 29 Aug 2017 CIA Sanction fee and Performance Bond structure (2015)(136 KB) 29 Aug 2017 Protocol for CIA Sanctioned Events (2005)(273 KB) 29 Aug 2017 Introduction to CIA Event Sanctioning (2007)(106 KB) 04 Apr 2023 gb_oh_2022_-_final.docx(195 KB) 15 Apr 2019 Gordon Bennett Website and Social media guide 2019(444 KB) 29 Aug 2017 Event Planning Notes for Hot Air Airship (BX) Event (2000)(124 KB) 29 Aug 2017 Airship Competitions Scoring Notes (1999)(121 KB) Archives 29 Aug 2017 Bid Document - 1999 Gordon Bennett, Albuquerque, New Mexico, USA(5350 KB) 29 Aug 2017 Invitation - Information Package - 2001 Gordon Bennett(997 KB) 29 Aug 2017 CIA Event Sanction Introduction - 2001(47 KB) 29 Aug 2017 CIA First Category Sanction Procedures - 2001(126 KB) 29 Aug 2017 CIA First Category Sanction Procedures - Recommended Changes 2001(26 KB) 29 Aug 2017 CIA Sporting Event Sanction Procedures - 2001(99 KB) 29 Aug 2017 CIA Protocol Procedures - 1995(26 KB) 29 Aug 2017 Event Debriefing Guidelines(23 KB) 29 Aug 2017 Event Debriefing - 2000 World Air Games Test Event(26 KB) 29 Aug 2017 Event Debriefing - 2000 Gordon Bennett(26 KB) 29 Aug 2017 Event Debriefing - 1999 Gordon Bennett(45 KB) 29 Aug 2017 Event Debriefing - 1999 World Hot Air Championship(28 KB) 29 Aug 2017 World Air Games - 2003 Hot Air Balloon Dossier(36 KB) 29 Aug 2017 World Air Games - 2003 Gas Balloons Dossier(37 KB) 29 Aug 2017 World Air Games - 2003 Hot Air Airship Dossier(36 KB) 29 Aug 2017 World Air Games - 2003 Draft Budget(174 KB) Coupe Aéronautique Gordon Bennett 23 Sep 2019 63rd Coupe Aéronautique Gordon Bennett 2019 - results(164 KB) 28 Nov 2017 Results(178 KB) 01 Oct 2018 62nd Coupe Aéronautique Gordon Bennett 2018 - results(164 KB) 29 Aug 2017 60th Coupe Aéronautique Gordon Bennett 2016 - results(298 KB) 29 Aug 2017 Winning Pilots and Co-Pilots(16 KB) 29 Aug 2017 List of Pilots and Co-Pilots Since 1906(199 KB) 29 Aug 2017 Flying Times of Winners(13 KB) 29 Aug 2017 Alphabetic List of Pilots and Co-Pilots since 1906(33 KB) 31 Jul 2019 cia-gb-mer-2005.doc(240 KB) 31 Jul 2019 cia-gb-mer-2007.doc(240 KB) 31 Jul 2019 cia-gb-mer-2008.doc(248 KB) 31 Jul 2019 cia-gb-mer-2010.doc(242 KB) 2016 2015 29 Aug 2017 59th Coupe Aéronautique Gordon Bennett - 2015(96 KB) 2014 29 Aug 2017 58th Coupe Aéronautique Gordon Bennett - 2014 Results(246 KB) 29 Aug 2017 2014 Coupe Aeronautique Gordon Bennett Official Rules - Final(503 KB) 2013 29 Aug 2017 Coupe Gordon Bennett 2013 results(228 KB) 2012 29 Aug 2017 Coupe Gordon Bennett 2012 results(226 KB) 29 Aug 2017 CIA-sanction-2012-GB-Switzerland(71 KB) 2011 29 Aug 2017 Gordon Bennett Results 2011(98 KB) 29 Aug 2017 CIA-sanction-2011-GB-France(136 KB) 2010 29 Aug 2017 2010 Gordon Bennett Results(77 KB) 29 Aug 2017 CIA-GB-2010-checklist(68 KB) 31 Jul 2019 cia-gb-2010-proposal.pdf(998 KB) 2009 29 Aug 2017 2009 Gordon Bennett - Headquarters Operations Log(678 KB) 29 Aug 2017 2009 Gordon Bennett - Balloon Federation of America Gas Division Newsletter(1420 KB) 29 Aug 2017 2009 Gordon Bennett Results(87 KB) 31 Jul 2019 cia-gb-2009-bid-comparison.doc(160 KB) 31 Jul 2019 cia-gb-2009-ger-bid-checklist.doc(121 KB) 31 Jul 2019 cia-gb-2009-ger-bid-package.pdf(5363 KB) 31 Jul 2019 cia-gb-2009-sui-bid-checklist.pdf(33 KB) 31 Jul 2019 cia-gb-2009-sui-bid-package.pdf(892 KB) 31 Jul 2019 cia-gb-2009-uk-bid-checklist.doc(144 KB) 31 Jul 2019 cia-gb-2009-usa-bid-checklist.doc(112 KB) 31 Jul 2019 cia-gb-2009-usa-bid-package.doc(4769 KB) 31 Jul 2019 cia-sanction-2009-gb.pdf(33 KB) 2008 29 Aug 2017 2008 Gordon Bennett Results(21 KB) 31 Jul 2019 cia-sanction-2008-gb-bid.doc(4473 KB) 31 Jul 2019 cia-sanction-2008-gb.doc(108 KB) 2007 29 Aug 2017 2007 Gordon Bennett Pilots(16 KB) 31 Jul 2019 cia-sanction-2007-gb.doc(66 KB) 2006 31 Jul 2019 cia-sanction-2006-gb.doc(70 KB) 29 Aug 2017 2006 Gordon Bennett Results(25 KB) 2005 29 Aug 2017 2005 Gordon Bennett Results(18 KB) 31 Jul 2019 cia-sanction-2005-gb.doc(247 KB) 2004 29 Aug 2017 2004 Gordon Bennett Results(22 KB) 31 Jul 2019 cia-sanction-2004-gb.doc(31 KB) 2003 29 Aug 2017 2003 Gordon Bennett Results(21 KB) 31 Jul 2019 cia-sanction-2003-gb.doc(53 KB) 2002 31 Jul 2019 cia-gb-results-2002.xls(21 KB) 29 Aug 2017 CIA-sanction-2002-GB(53 KB) 2001 31 Jul 2019 cia-gb-results-2001.xls(19 KB) 31 Jul 2019 cia-sanction-2001-gb.doc(53 KB) 2000-1983 29 Aug 2017 2000 Gordon Bennett Results(18 KB) 29 Aug 2017 1999 Gordon Bennett Results(19 KB) 29 Aug 2017 1998 Gordon Bennett Results(18 KB) 29 Aug 2017 1997 Gordon Bennett Results(18 KB) 29 Aug 2017 1996 Gordon Bennett Results(17 KB) 29 Aug 2017 1995 Gordon Bennett Results(18 KB) 29 Aug 2017 1994 Gordon Bennett Results(18 KB) 29 Aug 2017 1993 Gordon Bennett Results(19 KB) 29 Aug 2017 1992 Gordon Bennett Results(17 KB) 29 Aug 2017 1991 Gordon Bennett Results(17 KB) 29 Aug 2017 1990 Gordon Bennett Results(17 KB) 29 Aug 2017 1989 Gordon Bennett Results(17 KB) 29 Aug 2017 1988 Gordon Bennett Results(17 KB) 29 Aug 2017 1987 Gordon Bennett Results(16 KB) 29 Aug 2017 1986 Gordon Bennett Results(16 KB) 29 Aug 2017 1985 Gordon Bennett Results(17 KB) 29 Aug 2017 1984 Gordon Bennett Results(17 KB) 29 Aug 2017 1983 Gordon Bennett Results(17 KB) 1938-1920 29 Aug 2017 1938 Gordon Bennett Results(16 KB) 29 Aug 2017 1937 Gordon Bennett Results(17 KB) 29 Aug 2017 1936 Gordon Bennett Results(16 KB) 29 Aug 2017 1935 Gordon Bennett Results(17 KB) 29 Aug 2017 1934 Gordon Bennett Results(17 KB) 29 Aug 2017 1933 Gordon Bennett Results(16 KB) 29 Aug 2017 1932 Gordon Bennett Results(18 KB) 29 Aug 2017 1930 Gordon Bennett Results(15 KB) 29 Aug 2017 1929 Gordon Bennett Results(16 KB) 29 Aug 2017 1928 Gordon Bennett Results(16 KB) 29 Aug 2017 1927 Gordon Bennett Results(17 KB) 29 Aug 2017 1926 Gordon Bennett Results(18 KB) 29 Aug 2017 1925 Gordon Bennett Results(18 KB) 29 Aug 2017 1924 Gordon Bennett Results(18 KB) 29 Aug 2017 1923 Gordon Bennett Results(17 KB) 29 Aug 2017 1922 Gordon Bennett Results(18 KB) 29 Aug 2017 1921 Gordon Bennett Results(17 KB) 29 Aug 2017 Aero Club Suisse - Gordon Bennett 1922(887 KB) 29 Aug 2017 1920 Gordon Bennett Results(15 KB) 1913-1906 29 Aug 2017 1913 Gordon Bennett Results(27 KB) 29 Aug 2017 1912 Gordon Bennett Results(27 KB) 29 Aug 2017 1911 Gordon Bennett Results(24 KB) 29 Aug 2017 1910 Gordon Bennett Results(25 KB) 29 Aug 2017 1909 Gordon Bennett Results(27 KB) 29 Aug 2017 1908 Gordon Bennett Results(29 KB) 29 Aug 2017 1906 Gordon Bennett Results(25 KB) 29 Aug 2017 1906 Gordon Bennett Results(27 KB) Event PR and Social Media 02 Jun 2022 hot_air_website_and_social_media_guide_2019_0.pdf(382 KB) 02 Jun 2022 gordon_bennett_website_and_social_media_guide_2019_0.pdf(444 KB) 20 Dec 2022 FAI Media and Social Media Policy(413 KB) 20 Dec 2022 Event Accreditation form(50 KB) Safety and Education 15 Apr 2019 CIA Safety Handbook 2019(532 KB) 30 Aug 2017 Safe Handling of Propane (1996)(264 KB) 30 Aug 2017 Safety Seminar PowerPoint Template (2008)(6435 KB) 30 Aug 2017 CIA Powerline Lesson (2013)(6645 KB) Archives Competition operations 14 Apr 2025 coh_2025_final.pdf(1915 KB) 01 Apr 2024 coh_2024_-_final.pdf(1872 KB) 30 Aug 2017 CIA - COH Flight Report Forms (2015)(21 KB) 15 Aug 2024 tds.xlsx(1550 KB) 30 Aug 2017 CIA -COH GPS Position Report Form (2015)(43 KB) 30 Aug 2017 Competition Operations handbook - New Formula for Red PZ's(212 KB) 30 Aug 2017 Debriefers Handbook (2010)(208 KB) Archives / Previous COH 30 Aug 2017 CIA Competition Operations Handbook (2015)(920 KB) 30 Aug 2017 CIA Competition Operations Handbook (2014)(847 KB) 30 Aug 2017 CIA COH - Flight Report Forms (2014)(21 KB) 01 Apr 2021 coh_2021.pdf(1288 KB) 01 Apr 2021 coh_2021.pdf(1288 KB) Officials Event Directors 18 Aug 2025 the_2025_event_director_list.pdf(21 KB) 21 Nov 2023 2023_international_director_list.doc(107 KB) 18 Apr 2019 CIA International Event Directors List(329 KB) 01 Apr 2021 CIA Event Director application form(472 KB) 22 Sep 2023 ed_criteria.pdf(71 KB) Jury 14 Apr 2025 cia_jury_handbook_version_23-2025.docx(394 KB) 14 Apr 2025 2025_cia_jurors_14-03-25.pdf(41 KB) 14 May 2024 cia_jury_handbook_v22-2024.docx(392 KB) 01 Apr 2021 CIA Jury appeals-protest summary 1984 - 2020(177 KB) Archives 30 Aug 2017 Jury Handbook (2015)(619 KB) 30 Aug 2017 Jury Report - 2000 Gordon Bennett(1196 KB) 30 Aug 2017 Jury Report - 1999 World Hot Air Balloon Championship(37 KB) 30 Aug 2017 Jury Report - 1999 Gordon Bennett(67 KB) 30 Aug 2017 Jury Report - 1999 Velikie Luki Russia(17 KB) 30 Aug 2017 Jury Report - 1998 World Hot Air Airship Championship(50 KB) 30 Aug 2017 Jury Report - 1995 World Hot Air Balloon Championship(47 KB) 30 Aug 2017 Jury Handbook - Temporary Appendix 2001(24 KB) 30 Aug 2017 Jury Handbook (2014)(838 KB) 30 Aug 2017 Jury Refresher Test 1996(36 KB) 30 Aug 2017 Jury Refresher Test 1999(31 KB) 30 Aug 2017 Jury Test 1 - 1996(41 KB) 30 Aug 2017 Jury Test 1 - 1999(49 KB) 30 Aug 2017 Jury Test 2 - 1996(37 KB) 30 Aug 2017 Jury Test 2 - 1999(42 KB) 30 Aug 2017 Jury Test 3 - 1996(33 KB) 30 Aug 2017 Jury Test 3 - 1999(37 KB) 30 Aug 2017 Jury Test 4 - 1996(59 KB) 30 Aug 2017 Jury Test 5 - 1996(33 KB) 30 Aug 2017 Jury Test 5 - 1999(38 KB) 30 Aug 2017 2014 CIA Event Juries(85 KB) International Jury Application 14 May 2024 juror_application_form_v22-2024.docx(32 KB) 14 May 2024 juror_application_procedure_2024.docx(18 KB) Jury Reports 05 Nov 2025 europeans_2025_-_final_report.pdf(492 KB) 05 Nov 2025 jury_report_fai_-_gb2025_v2.pdf(164 KB) 05 Nov 2025 jury_report_-_recommendations_and_remarks.pdf(70 KB) 20 Jan 2025 2024_whabc_report.docx(41 KB) 20 Jan 2025 gb_2024_report.docx(351 KB) 22 Jan 2024 gb_jury_presidents_report_to_fai.docx(36 KB) 22 Sep 2023 2023_womens_whabc_report_of_jury_president_to_the_fai-cia_14sept2023.docx(21 KB) 22 Sep 2023 5th_womens_wwhabc_debrief-northam_8sept2023_final_ver_from_jury_president.docx(34 KB) 20 Sep 2023 jury_report_6th_fai_jhabc.pdf(1726 KB) 21 Dec 2022 jury_report_65th_coupe_aeronautique_gordon_bennett_final.pdf(2650 KB) 21 Dec 2022 jury_report_65th_coupe_aeronautique_gordon_bennett.pdf(858 KB) 21 Dec 2022 jury_report_24th_fai_world_hot_air_balloon_championship_2022_comments.pdf(1166 KB) 28 Apr 2018 CIA Jury Reports Summery Table - 2017(19 KB) 21 Dec 2022 event_debrief_minutes_002.pdf(74 KB) 21 Dec 2022 event_debrief_65th_coupe_aeronautique_gordon_bennett_202_2_v3.pdf(68 KB) 01 Apr 2021 cia_2018_jury_report.pdf(256 KB) 28 Apr 2018 CIA Jury Report summery - 2017(28 KB) 28 Apr 2018 CIA Jury Appeals-Protests Summery 1984-2018(42 KB) 30 Aug 2017 1984-2016 CIA Jury Protest Summaries(41 KB) 21 Dec 2022 fai_jury_report_scanned.pdf(104 KB) 30 Aug 2017 2016 CIA Jury Reports Summery(12 KB) 21 Dec 2022 fai_jury_report_scanned_0.pdf(104 KB) 30 Aug 2017 2015 CIA Jury Reports Summery(65 KB) 30 Aug 2017 2014 CIA Jury Reports Summery(26 KB) 30 Aug 2017 2013 CIA Jury Reports Summery(189 KB) 30 Aug 2017 2012 CIA Jury Reports Summery(119 KB) 30 Aug 2017 2011 CIA Jury Reports Summery(367 KB) 30 Aug 2017 2010 CIA Jury Reports Summery(290 KB) 30 Aug 2017 2009 CIA Jury Reports Summery(465 KB) 30 Aug 2017 2008 CIA Jury Reports Summery(128 KB) 30 Aug 2017 2007 CIA Jury Reports Summery(159 KB) 30 Aug 2017 2006 CIA Jury Reports Summery(122 KB) 30 Aug 2017 CIA-Jury-Report-2001-Saga(29 KB) 30 Aug 2017 CIA-Jury-Rept-2000-Ladies-World-Cup, Leszno, Poland(204 KB) 30 Aug 2017 CIA-Jury-Rept-1995-World-Hot-Air-Battle Creek, USA(67 KB) 30 Aug 2017 CIA-Jury-Rept-1999-World-Hot-Air-Bad Waltersdorf, Austria(34 KB) 30 Aug 2017 CIA-Jury-Rept-2000-Tiza(32 KB) 30 Aug 2017 CIA-Jury-Rept-2002-mobilux(58 KB) 30 Aug 2017 CIA-Jury-Rept-2002-Motegi(66 KB) 30 Aug 2017 CIA-Jury-Rept-1999-Velikie-Luki(49 KB) 30 Aug 2017 CIA-Jury-Rept-1999-Gordon-Bennett-Albuquerque(30 KB) 30 Aug 2017 CIA-Jury-Rept-2000-Gordon-Bennett, Saint Hubert, Belgium(1206 KB) 30 Aug 2017 CIA-Jury-Rept-1998-World-Airship-Gatineau, Canada(43 KB) 30 Aug 2017 CIA-Jury-Rept-2000-World-Airship-Schielleiten, Austria(23 KB) Jury Training Manual 30 Aug 2017 Jury Decision - AA7-1 (Chapter 7 - Landings)(32 KB) 30 Aug 2017 Jury Decision - AX11-1 (Chapter 11- Ground Contact)(47 KB) 30 Aug 2017 Jury Decision/FAI Appeal - AX11-2 (Chapter 11 - Landings)(24 KB) 30 Aug 2017 Jury Decision - AX11-3 (Chapter 11 - Ground Contact)(25 KB) 30 Aug 2017 Jury Decision - AX12-1 (Chapter 12 - Goal, Marker)(24 KB) 30 Aug 2017 Jury Decision/FAI Appeal - AX12-2 (Chapter 12 - Goal, Marker)(28 KB) 30 Aug 2017 Jury Decision - AX12-3 (Chapter 12 - Lost Marker)(24 KB) 30 Aug 2017 Jury Decision - AX15-1 (Chapter 15 - Tasks)(22 KB) 30 Aug 2017 Jury Decision/FAI Appeal AX2-1 (Chapter 2 - Conduct)(175 KB) 30 Aug 2017 Jury Decision - AX9-1 (Chapter 9 - Launch Procedures)(26 KB) 30 Aug 2017 Jury Decision - AX 9-2 (Chapter 9 - Launch Procedures)(55 KB) 30 Aug 2017 Jury Decision - BX10-1 (Chapter 10 - Flight Rules)(25 KB) 30 Aug 2017 Jury Decision - BX10-2 (Chapter 10 - Flight Rules)(24 KB) 30 Aug 2017 Jury Decision - BX11-1 (Chapter 11 - Ground Contact)(31 KB) Scoring Evaluation Programs 30 Aug 2017 Readme files for Elbow and Formula One programs(25 KB) 30 Aug 2017 Great Circle Route, Elbow and Land Run Calculations(27 KB) 30 Aug 2017 CIA-Jury-Wind-Chart-2003(45 KB) Jury Board Meeting Minutes 28 Apr 2018 CIA Jury Board meeting minutes - 2018(89 KB) 28 Apr 2018 CIA Event Juror List 2018-2019(16 KB) 30 Aug 2017 CIA Jury Board Minutes - 2014(15 KB) 30 Aug 2017 CIA Jury Board Minutes - 2013(36 KB) 30 Aug 2017 CIA Jury Board Minutes - 2012(45 KB) 30 Aug 2017 CIA Jury Board Minutes - 2011(48 KB) 30 Aug 2017 CIA Jury Board Minutes - 2010(48 KB) 30 Aug 2017 CIA Jury Board Minutes - 2009(59 KB) 30 Aug 2017 CIA Jury Board Minutes - 2008(118 KB) Jury Board Newsletter 15 May 2024 jb_newsletter_2024.docx(173 KB) 30 Aug 2017 CIA Jury Newsletter/Meeting News - 2003(27 KB) 30 Aug 2017 CIA Jury Newsletter - 1999(694 KB) 30 Aug 2017 CIA Jury Newsletter - 1996(90 KB) Observers 30 Aug 2017 Chief Observer List (2017)(43 KB) 30 Aug 2017 Observers Handbook (2010)(263 KB) 30 Aug 2017 Observer Invitation Policy (1995)(55 KB) 30 Aug 2017 Model Observer Forms (2000)(1187 KB) 30 Aug 2017 Observer Report Form - PDF (2000)(19 KB) 30 Aug 2017 Observer Report Form - Excel (2000)(30 KB) 30 Aug 2017 Observers Glossary (1995)(166 KB) Archives Safety Officers 15 Apr 2019 CIA Safety Handbook 2019(532 KB) 30 Aug 2017 Incident and Accident Report Form(96 KB) 30 Aug 2017 CIA Safety Officer Report Form - 2016(95 KB) Archives 30 Aug 2017 CIA Safety Officers Handbook (2015)(426 KB) 30 Aug 2017 CIA Safety Officers Handbook - 2016(495 KB) 30 Aug 2017 CIA Safety Officer Report Form (2014)(75 KB) 30 Aug 2017 Safety Incident Report Form (2014)(70 KB) Competition Model Event Rules 14 Apr 2025 axmer2025.pdf(752 KB) 14 Apr 2025 axmer2025.docx(772 KB) 05 Apr 2024 axmer2024.docx(183 KB) 05 Apr 2024 axmer2024.pdf(644 KB) 04 Apr 2023 axmer2023.pdf(642 KB) 04 Apr 2023 axmer2023.docx(179 KB) 04 Apr 2023 axmer2023chgs.docx(187 KB) 04 Apr 2023 axmer2023_sccorr_chgs.docx(197 KB) 19 Apr 2023 gb_mer_2023_-_final.docx(199 KB) 19 Apr 2023 gb_mer_2023_-_track_changes_draft3.docx(204 KB) 19 Apr 2023 gb_2023_rules_final.pdf(241 KB) 19 Apr 2020 Gordon Bennett MER - 2020(195 KB) 15 Mar 2018 Hot Air Airship Rules - Class BX (2017)(545 KB) 29 Aug 2017 Gas Balloon Rules - Class AA (2008)(131 KB) 29 Aug 2017 Coupe Aeronautique Gordon Bennett - Class AA (2012)(248 KB) 06 Mar 2025 Roziére Balloon Rules - Class AM (1996)(117 KB) Rules Archive Scoring 30 Aug 2017 CIA-Events-BX-Scoring-notes-1996(102 KB) 30 Aug 2017 CIA-meeting-Scoring-WG-V1(179 KB) Archives Balloon Youth Camps 01 Apr 2021 CIA Youthcamp Guidelines 2021(417 KB) 03 Nov 2024 cia_balloon_youth_camp_support_application_ver_2a-oct_2024_update_final.docx(314 KB) CIA and FAI Awards 02 Dec 2022 montgolfier_nomination_form_2023.docx(26 KB) 29 Aug 2017 Montgolfier Diplomas(85 KB) 29 Aug 2017 Santos Dumont Gold Medal(108 KB) 29 Aug 2017 FAI Air Sports Medals(128 KB) 29 Aug 2017 List of Certificate of Appreciation Recipients(133 KB) Sporting Badges 01 Apr 2021 List of CIA Sporting Badges Awarded update 2021(63 KB) 30 Aug 2017 CIA Sporting Badge Application Forms(99 KB) 30 Aug 2017 CIA Sporting Badge Order Procedures (2012)(108 KB) 30 Aug 2017 CIA Sporting Badge Order Procedures (PDF) (2012)(28 KB) 30 Aug 2017 CIA Sporting Badges Article(100 KB) Archives Hall of Fame 02 Dec 2022 hall_of_fame_nomination_form.docx(17 KB) Inducted Members 30 Aug 2017 Abruzzo, Ben - USA(428 KB) 30 Aug 2017 Andrée , Salomon August - Sweden(127 KB) 30 Aug 2017 Aoki, Rocky - USA(204 KB) 30 Aug 2017 Bacon, Rev. John Mackenzie - UK(253 KB) 30 Aug 2017 Balkedal, Jan - Sweden(290 KB) 19 Dec 2019 Barnes, Tracy - USA(211 KB) 30 Aug 2017 Blanchard, Jean-Pierre - France(579 KB) 30 Aug 2017 Blanchard, Mrs. Madeleine Sophie (Armant) - France(427 KB) 30 Aug 2017 Boesman, Jo - Netherlands(206 KB) 30 Aug 2017 Boesman, Nini - Netherlands(168 KB) 19 Dec 2019 Bonanno, Paolo - Italy(118 KB) 30 Aug 2017 Bradley, Troy - USA(433 KB) 30 Aug 2017 Cameron, Don - UK(198 KB) 30 Aug 2017 Charles, Prof. Jacques Alexandre César - France(371 KB) 30 Aug 2017 Clark, Ron - USA(151 KB) 30 Aug 2017 Comstock, Bruce - USA(153 KB) 30 Aug 2017 Cutter, Sid - USA(221 KB) 30 Aug 2017 Demuyter, Ernest - Belgium(302 KB) 30 Aug 2017 Dollfus, Charles - France(306 KB) 30 Aug 2017 Eckener, Hugo - Germany(255 KB) 30 Aug 2017 Eckert, Alfred - Germany(83 KB) 30 Aug 2017 Fairbanks, Tony - USA(282 KB) 30 Aug 2017 Folkes, Janet - UK(268 KB) 30 Aug 2017 Forbes, Malcolm - USA(444 KB) 30 Aug 2017 Fossett, J. Steven - USA(619 KB) 30 Aug 2017 Giffard, Henri - France(93 KB) 30 Aug 2017 Green, Charles - UK(291 KB) 19 Dec 2019 Green, Geoff - Hong Kong(330 KB) 30 Aug 2017 Gusmão, Bartholomeu Lourenco de - Brazil(229 KB) 30 Aug 2017 Jones, Brian - UK(356 KB) 30 Aug 2017 Kakuda, Masahi - Japan(241 KB) 30 Aug 2017 Kanda, Michio - Japan(286 KB) 30 Aug 2017 Kittinger, Joseph W - USA(295 KB) 30 Aug 2017 Levin, David - USA(301 KB) 19 Dec 2019 Lindstrand, Per - Sweden(258 KB) 30 Aug 2017 Lunardi, Vincent - Italy(482 KB) 19 Dec 2019 Maes, Jojo - Germany(482 KB) 30 Aug 2017 Montgolfier, Joseph-Michel & Montgolfier, Jacques-Etienne - France(369 KB) 30 Aug 2017 Newman, Larry - USA(83 KB) 30 Aug 2017 Nobile, Umberto - Italy(129 KB) 30 Aug 2017 Piccard, Auguste - Switzerland(387 KB) 30 Aug 2017 Piccard, Bertrand - Switzerland(728 KB) 30 Aug 2017 Piccard, Donald L - USA(239 KB) 30 Aug 2017 Piccard, Donald L - USA (Article 2)(1089 KB) 19 Dec 2019 Pritchard, Norman - Great Britain(572 KB) 30 Aug 2017 Robert, Anne-Jean & Robert, Marie-Noël - France(130 KB) 30 Aug 2017 Roux Devillas, Olivier - France(164 KB) 30 Aug 2017 Rozier, Jean-François Pilâtre de - France(311 KB) 30 Aug 2017 Santos-Dumont, Alberto - Brazil(464 KB) 30 Aug 2017 Sheppard, Tom - USA(249 KB) 30 Aug 2017 Sjuts, Helma - Germany(104 KB) 30 Aug 2017 Smith, Anthony - UK(286 KB) 30 Aug 2017 Soukup, Jacques W. & Thomas, Kirk S - Virgin Islands(363 KB) 30 Aug 2017 Starkbaum, Josef - Austria(394 KB) 30 Aug 2017 Stefan, Karl - USA(320 KB) 30 Aug 2017 von Zeppelin, Count Ferdinand Adolf August - Germany(291 KB) 30 Aug 2017 Wirth, Dick - UK(324 KB) 30 Aug 2017 Yamada, Isaburo - Japan(590 KB) 30 Aug 2017 Yost, Ed - USA(274 KB) 30 Aug 2017 Hall of Fame Nomination Form(52 KB) Nominations 30 Aug 2017 Abruzzo, Richard - USA(288 KB) 30 Aug 2017 Arnould, Michel - France(105 KB) 30 Aug 2017 Bennett, James Gordon - USA(242 KB) 30 Aug 2017 Dollfus, Audoin - France(250 KB) 30 Aug 2017 Floden, Denny - USA(223 KB) 30 Aug 2017 Gonzales Green, Jesus - Spain(432 KB) 30 Aug 2017 Grubbstrom, John - SWE(761 KB) 30 Aug 2017 Ichiyoshi, Sabu - Japan(110 KB) 30 Aug 2017 Muir, Lindsay - UK(301 KB) 30 Aug 2017 Nott, Julian - USA/UK(243 KB) 30 Aug 2017 Oiwa, Maco - Japan(234 KB) 30 Aug 2017 Pellegrino, Peter - USA(158 KB) 30 Aug 2017 Peterka, Peter - Switzerland(195 KB) 30 Aug 2017 Putland, Gren - Australia(440 KB) 30 Aug 2017 Reinhard, Dewey - USA(121 KB) 30 Aug 2017 Rymer-Davis, Carol - USA(409 KB) 30 Aug 2017 Sadler, James - UK(148 KB) 30 Aug 2017 Sage, Mrs. Letitia A. - UK(463 KB) 30 Aug 2017 Sage, Tom - UK(494 KB) 30 Aug 2017 Tiukhtyaev, Leonid - Russia(177 KB) 30 Aug 2017 Tournachon, Gaspard-Félix ("Nadar") - France(235 KB) 30 Aug 2017 Wallington, John - Australia(381 KB) 30 Aug 2017 Wilson, Ruth - Australia(747 KB) 30 Aug 2017 Wolfe, Mrs. Connie - USA(204 KB) 30 Aug 2017 Zambeccari, Francesco - Italy(151 KB) 30 Aug 2017 Hall of Fame Nomination form(52 KB) Competition Results and World Ranking Lists (archive) Competitions Results 31 Jul 2019 cia-all-euro-results-ax.xls(202 KB) 31 Jul 2019 cia-all-northam-results-ax.xls(28 KB) 31 Jul 2019 cia-all-pacific-results-ax.xls(16 KB) 31 Jul 2019 cia-all-world-results-ax.xls(350 KB) 31 Jul 2019 cia-results-21-ladies-world-cup.pdf(26 KB) 31 Jul 2019 cia-wag-all-results.xls(44 KB) 1973 31 Jul 2019 cia-1973-world-ax.xls(18 KB) 1975 31 Jul 2019 cia-1975-world-ax.xls(19 KB) 1976 31 Jul 2019 cia-1976-europe-ax.xls(18 KB) 31 Jul 2019 cia-1976-world-gas.xls(16 KB) 1977 31 Jul 2019 cia-1977-world-ax.xls(21 KB) 1979 31 Jul 2019 cia-1979-world-ax.xls(20 KB) 1980 31 Jul 2019 cia-1980-europe-ax.xls(17 KB) 31 Jul 2019 cia-1980-world-gas.xls(16 KB) 1981 31 Jul 2019 cia-1981-world-ax.xls(25 KB) 1982 31 Jul 2019 cia-1982-europe-ax.xls(19 KB) 1983 31 Jul 2019 cia-1983-world-ax.xls(27 KB) 1984 31 Jul 2019 cia-1984-europe-ax.xls(19 KB) 1985 31 Jul 2019 cia-1985-world-ax.xls(27 KB) 1986 31 Jul 2019 cia-1986-europe-ax.xls(22 KB) 31 Jul 2019 cia-1986-northam-ax.xls(17 KB) 1987 31 Jul 2019 cia-1987-world-ax.xls(24 KB) 1988 31 Jul 2019 cia-1988-europe-ax.xls(21 KB) 31 Jul 2019 cia-1988-northam-ax.xls(17 KB) 31 Jul 2019 cia-1988-world-bx_0.xls(28 KB) 31 Jul 2019 cia-1988-world-gas.xls(16 KB) 1989 31 Jul 2019 cia-1989-world-ax.xls(28 KB) 1990 31 Jul 2019 cia-1990-europe-ax.xls(22 KB) 31 Jul 2019 cia-1990-northam-ax.xls(14 KB) 31 Jul 2019 cia-1990-world-bx_0.xls(33 KB) 1991 31 Jul 2019 cia-1991-world-ax.xls(27 KB) 1992 31 Jul 2019 cia-1992-europe-ax.xls(24 KB) 31 Jul 2019 cia-1992-northam-ax.xls(19 KB) 31 Jul 2019 cia-1992-pacific-ax.xls(16 KB) 31 Jul 2019 cia-1992-world-bx.xls(15 KB) 31 Jul 2019 cia-1992-world-gas.xls(17 KB) 1993 31 Jul 2019 cia-1993-world-ax.xls(28 KB) 1994 31 Jul 2019 cia-1994-europe-ax.xls(22 KB) 31 Jul 2019 cia-1994-northam-ax.xls(17 KB) 31 Jul 2019 cia-1994-world-bx.xls(14 KB) 31 Jul 2019 cia-1994-world-gas.xls(15 KB) 1995 31 Jul 2019 cia-1995-world-ax.xls(26 KB) 1996 31 Jul 2019 cia-1996-europe-ax.xls(25 KB) 31 Jul 2019 cia-1996-world-bx.xls(0 KB) 31 Jul 2019 cia-1996-world-gas.xls(0 KB) 1997 31 Jul 2019 cia-1997-wag.xls(24 KB) 31 Jul 2019 cia-1997-world-ax.xls(29 KB) 1998 31 Jul 2019 cia-1998-europe-ax.xls(24 KB) 31 Jul 2019 cia-1998-world-bx.xls(16 KB) 1999 31 Jul 2019 cia-1999-world-ax.xls(26 KB) 2000 31 Jul 2019 cia-2000-europe-ax.xls(25 KB) 31 Jul 2019 cia-2000-world-bx.xls(15 KB) 31 Jul 2019 cia-results-2000-ax-european.xls(36 KB) 31 Jul 2019 cia-results-2000-bx-worlds.xls(15 KB) 31 Jul 2019 cia-results-2000-lux.xls(25 KB) 31 Jul 2019 cia-results-2000-poland.xls(20 KB) 31 Jul 2019 cia-results-2000-wag-cup.xls(19 KB) 2001 31 Jul 2019 cia-2001-wag-ax.xls(23 KB) 31 Jul 2019 cia-2001-wag-gas.xls(15 KB) 31 Jul 2019 cia-results-2001-aa-wag.xls(15 KB) 31 Jul 2019 cia-results-2001-ax-wag.xls(23 KB) 31 Jul 2019 cia-results-2001-coupe-europe.xls(23 KB) 31 Jul 2019 cia-results-2001-motegi.xls(17 KB) 31 Jul 2019 cia-results-2001-pacific.xls(30 KB) 2002 31 Jul 2019 cia-2002-world-ax.xls(27 KB) 31 Jul 2019 cia-results-2002-coupe-europe.xls(24 KB) 31 Jul 2019 cia-results-2002-lux.xls(17 KB) 31 Jul 2019 cia-results-2002-mol-cup.xls(20 KB) 31 Jul 2019 cia-results-2002-usa-challenge.xls(18 KB) 2003 31 Jul 2019 cia-2003-europe-ax.xls(31 KB) 31 Jul 2019 cia-results-2003-coupe-europe.xls(26 KB) 31 Jul 2019 cia-results-2003-lux.xls(19 KB) 31 Jul 2019 cia-results-2003-mol-cup.xls(253 KB) 31 Jul 2019 cia-results-2003-motegi.xls(22 KB) 31 Jul 2019 cia-results-2003-thermofarm-cup.xls(21 KB) 2004 31 Jul 2019 cia-2004-world-ax.xls(30 KB) 31 Jul 2019 cia-2004-world-gas.xls(17 KB) 31 Jul 2019 cia-results-2004-lux.xls(20 KB) 31 Jul 2019 cia-results-2004-mol-cup.xls(20 KB) 31 Jul 2019 cia-results-2004-moscow.xls(18 KB) 31 Jul 2019 cia-results-2004-motegi.xls(23 KB) 31 Jul 2019 cia-results-2004-poland.xls(17 KB) 31 Jul 2019 cia-results-2004-russia.xls(25 KB) 31 Jul 2019 cia-results-2004-ukraine.xls(66 KB) 2005 31 Jul 2019 cia-2005-europe-ax.xls(31 KB) 31 Jul 2019 cia-results-2005-coupe-europe.xls(25 KB) 31 Jul 2019 cia-results-2005-lux.xls(19 KB) 31 Jul 2019 cia-results-2005-moscow.xls(17 KB) 31 Jul 2019 cia-results-2005-motegi.xls(28 KB) 31 Jul 2019 cia-results-2005-poland.xls(20 KB) 31 Jul 2019 cia-results-2005-russia.xls(18 KB) 2006 31 Jul 2019 cia-2006-southam-ax.xls(40 KB) 31 Jul 2019 cia-2006-world-ax.xls(40 KB) 31 Jul 2019 cia-results-2006-coupe-europe.xls(25 KB) 31 Jul 2019 cia-results-2006-lux.xls(20 KB) 31 Jul 2019 cia-results-2006-mol-cup.xls(19 KB) 31 Jul 2019 cia-results-2006-moscow.xls(22 KB) 31 Jul 2019 cia-results-2006-poland.xls(90 KB) 31 Jul 2019 cia-results-2006-russia.xls(45 KB) 31 Jul 2019 cia-results-2006-worlds.xls(32 KB) 2007 31 Jul 2019 cia-2007-europe-ax.xls(33 KB) 31 Jul 2019 cia-results-2007-coupe-europe.xls(34 KB) 31 Jul 2019 cia-results-2007-lux.xls(18 KB) 31 Jul 2019 cia-results-2007-mol-cup.xls(19 KB) 31 Jul 2019 cia-results-2007-moscow.xls(16 KB) 31 Jul 2019 cia-results-2007-omv.xls(25 KB) 31 Jul 2019 cia-results-2007-tochigi.xls(22 KB) 2008 31 Jul 2019 cia-2008-ax-worlds.xls(33 KB) 31 Jul 2019 cia-2008-world-bx.xls(17 KB) 31 Jul 2019 cia-all-worlds-results-ax-2008.xls(0 KB) 31 Jul 2019 cia-results-2008-bx-worlds.doc(35 KB) 31 Jul 2019 cia-results-2008-lux.xls(35 KB) 31 Jul 2019 cia-results-2008-mol.xls(78 KB) 31 Jul 2019 cia-results-2008-tochigi.xls(24 KB) 2009 31 Jul 2019 cia-2009-europe-ax.xls(60 KB) 31 Jul 2019 cia-2009-wag-ax.xls(19 KB) 31 Jul 2019 cia-results-2009-ax-debrecen.xls(32 KB) 31 Jul 2019 cia-results-2009-ax-debrecen.xls(0 KB) 31 Jul 2019 cia-results-2009-ax-europeans-tasks.pdf(379 KB) 31 Jul 2019 cia-results-2009-ax-europeans.xls(60 KB) 31 Jul 2019 cia-results-2009-ax-lux.xls(41 KB) 31 Jul 2019 cia-results-2009-ax-tochigi.xls(22 KB) 2010 31 Jul 2019 cia-results-2010-ax-tochigi.xls(25 KB) 31 Jul 2019 cia-results-2010-bp-trophy.xls(23 KB) 2011 31 Jul 2019 cia-results-2011-aa-stuttgart.pdf(5 KB) World Ranking Lists Combined Results and Statistics 30 Aug 2017 All AX World Championship Results 2016(585 KB) 30 Aug 2017 All World Women's Championship Results(122 KB) 30 Aug 2017 All AX World Junior Championship results(192 KB) 30 Aug 2017 All AX Asia Pacific Championship Results(17 KB) 30 Aug 2017 All AX European Championship Results(465 KB) 30 Aug 2017 All AX European Women's Results(111 KB) 30 Aug 2017 All AX South American Results(26 KB) 30 Aug 2017 All AX North American Results(29 KB) 30 Aug 2017 All AA World Results(54 KB) 30 Aug 2017 All AA WAG Results(15 KB) 30 Aug 2017 All AA European Results(1619 KB) 30 Aug 2017 All AX WAG Ranking list 2016(104 KB) Archives 14 Mar 2022 CIA World Hot Air Balloon Ranking List - December 2014(415 KB) 30 Aug 2017 CIA World Hot Air Airship Ranking List - 2011(1304 KB) 30 Aug 2017 CIA World Ranking List - 2012(27 KB) 30 Aug 2017 CIA World Hot Air Airship Ranking List - 2011(1304 KB) 30 Aug 2017 CIA World Ranking List - 2010-top150(27 KB) 30 Aug 2017 CIA World Ranking List - 2010-Full(330 KB) 30 Aug 2017 CIA World Ranking List - 2009-top150(57 KB) 30 Aug 2017 CIA World Ranking List - 2009-full(97 KB) 30 Aug 2017 CIA World Ranking List - 2007(40 KB) 30 Aug 2017 CIA World Ranking List - 2007-detail(184 KB) 30 Aug 2017 CIA World Ranking List - 2006(124 KB) 30 Aug 2017 CIA World Ranking List - 2004(189 KB) 30 Aug 2017 CIA World Ranking List - 2002 (Sept)(100 KB) 30 Aug 2017 CIA World Ranking List - 2002 (April)(59 KB) 30 Aug 2017 CIA World Ranking List - 2001(72 KB) 30 Aug 2017 CIA World Ranking List - 2000(75 KB) Notable Flights 30 Aug 2017 Notable Flights and Performances Introduction(172 KB) 30 Aug 2017 Part 1 - Detailed Information(12 KB) 30 Aug 2017 01. Flights 0000-1785(44 KB) 30 Aug 2017 02. Flights 1786-1800(66 KB) 30 Aug 2017 03. Flights 1801-1850(30 KB) 30 Aug 2017 04. Flights 1851-1900(44 KB) 30 Aug 2017 05. Flights 1901-1925(57 KB) 30 Aug 2017 06. Flights 1926-1950(50 KB) 30 Aug 2017 07. Flights 1951-1975(48 KB) 30 Aug 2017 08. Flights 1976-1983(46 KB) 30 Aug 2017 09. Flights 1984-1990(44 KB) 30 Aug 2017 10. Flights 1991-1995(66 KB) 30 Aug 2017 11. Flights 1996-2000(72 KB) 30 Aug 2017 12. Flights 2001-2010(100 KB) 30 Aug 2017 13. Flights 2001-2020(21 KB) 30 Aug 2017 20. Flights - New entries since 2005-03-01(142 KB) 30 Aug 2017 21. Long distance flights from Albuquerque(14 KB) 30 Aug 2017 22. Long duration flights from Albuquerque(52 KB) 30 Aug 2017 Part 2 - Category Lists. Limited Information(12 KB) 30 Aug 2017 For full information, see corresponding date in Part 1(12 KB) 30 Aug 2017 A. Airship Flights(15 KB) 30 Aug 2017 B. Parachute jumps from balloon(9 KB) 30 Aug 2017 C. Long Distance Flights(40 KB) 30 Aug 2017 D. Long Duration Flights(34 KB) 30 Aug 2017 E. Flights Over Significant Geographical features(25 KB) 30 Aug 2017 F. "First" Flights(51 KB) 30 Aug 2017 G. Gordon Bennett Performance(61 KB) 30 Aug 2017 H. High Number of Flights or Hours(8 KB) 30 Aug 2017 I. Awards, Champions, Winners and Badges(69 KB) 30 Aug 2017 K. Famous Females in Aerostation(16 KB) 30 Aug 2017 L. First National Flights(14 KB) 30 Aug 2017 M. Atlantic Ocean Crossings and Attempts(29 KB) 30 Aug 2017 N. Atlantic Solo Flights(10 KB) 30 Aug 2017 O. Indian Ocean Crossings or Attempts(6 KB) 30 Aug 2017 P. Pacific Ocean Crossings or Attempts(9 KB) 30 Aug 2017 Q. Curiosities(14 KB) 30 Aug 2017 R. Round the World Records and Attempts(19 KB) 30 Aug 2017 S. Stratosphere Flights (over 12 000m)(74 KB) 30 Aug 2017 T. Technical Development(57 KB) 30 Aug 2017 U. Unmanned Flights(58 KB) Records 30 Aug 2017 Absolute Altitude Calculation - Corrected (1995)(60 KB) 30 Aug 2017 Detail of the Development of Section 1 Rules for Volume, Class AA (2000)(58 KB) 30 Aug 2017 Summary of the Development of Section 1 Rules for Volume, Class AA (2000)(39 KB) 30 Aug 2017 AA Volume Calculation - Volume Study (Excel spreadsheet) (2000)(24 KB) 30 Aug 2017 Record Rules Explained(61 KB) Around the World Flights 29 Aug 2017 Around the World Flight Rules(41 KB) 29 Aug 2017 Around the World Ballooning Attempts(72 KB) 29 Aug 2017 RTW projects and flights(143 KB) Archives Ballooning Commission Rules and Regulations (CIA) 14 Apr 2025 cia-internal-regulations-2025-version_3.4.pdf(769 KB) 01 Apr 2024 cia-internal-regulations-2024-version_3.3.pdf(769 KB) 03 Jul 2023 cia-internal-regulations-2023-version_3.2.pdf(721 KB) 09 Nov 2021 cia-internal-regulations-2021-version_3_final.pdf(850 KB) 30 Aug 2017 Internal Regulations (2000)(343 KB) 30 Aug 2017 Internal Regulations - Amendment only - issued Apr 2001(27 KB) 30 Aug 2017 Internet Policy and Guidelines (1999)(89 KB) 30 Aug 2017 CIA Policy Manual - Volume I - to 1997(1293 KB) 30 Aug 2017 CIA Policy Manual - Volume II, 1999 - 2001(243 KB) Archives Sporting Code - Section 1: Balloons and Airships 14 Apr 2025 sc01_april_2025_final.pdf(987 KB) 01 Apr 2024 sc01_april_2024_final.pdf(984 KB) 04 Apr 2023 sc01_april_2023_final.pdf(1004 KB) 11 Jul 2022 sc01_july_2022_final_v3.pdf(1225 KB) 01 Apr 2021 sc01_april_2021_final.pdf(1222 KB) Archives 17 Jan 2018 Sporting Code Section 1 - Edition 2016(848 KB) 30 Aug 2017 Sporting Code Section 1 - Edition 2015(644 KB) 30 Aug 2017 Sporting Code Section 1 - Edition 2014 - Version 1(276 KB) 30 Aug 2017 Sporting Code Section 1 - Edition 2013 - Version 2(270 KB) 30 Aug 2017 Sporting Code Section 1 - Edition 2013 - Version 1(270 KB) 30 Aug 2017 Sporting Code Section 1 - aerostats - 2012 edition(268 KB) 30 Aug 2017 Sporting Code Section 1 - Aerostats 2003 edition(350 KB) 21 Mar 2019 Sporting Code Section One - May 2018(404 KB) Other Documents 30 Aug 2017 Index of Balloon Related Articles in National Geographic(48 KB) Competitors Subcommittee Survey 30 Aug 2017 Competitor Subcommittee Survey Questions 2006(55 KB) 30 Aug 2017 Competitors Subcommittee Survey Letter 2006(29 KB) 30 Aug 2017 Competitors Subcommittee Survey Results 2006(214 KB) Latest News 30 Aug 2017 CIA Latest News - November 2010(413 KB) 30 Aug 2017 CIA Latest News - October 2010(830 KB) 30 Aug 2017 CIA Latest News - September 2010(890 KB) 30 Aug 2017 CIA Latest News - July 2010(825 KB) 30 Aug 2017 CIA Latest News - June 2010(527 KB) 30 Aug 2017 CIA Latest News - May 2010(664 KB) 30 Aug 2017 CIA Latest News - March 2010(507 KB) Statistics 28 Nov 2019 statistics2020form.docx(64 KB) 30 Aug 2017 CIA Annual Statistics for 2013(128 KB) 30 Aug 2017 CIA Annual Statistics for 2012(128 KB) 30 Aug 2017 CIA Annual Statistics for 2011(128 KB) 30 Aug 2017 CIA Annual Statistics for 2010(116 KB) 30 Aug 2017 CIA Annual Statistics for 2009(116 KB) 30 Aug 2017 CIA Annual Statistics for 2008(113 KB) 30 Aug 2017 CIA Annual Statistics for 2007(113 KB) 30 Aug 2017 CIA Annual Statistics for 2006(111 KB) 30 Aug 2017 CIA Annual Statistics for 2005(111 KB) 30 Aug 2017 CIA Annual Statistics for 2004(109 KB) 30 Aug 2017 CIA Annual Statistics for 2003(87 KB) 30 Aug 2017 CIA Annual Statistics for 2002(106 KB) 30 Aug 2017 CIA Annual Statistics for 2001(21 KB) 30 Aug 2017 CIA Annual Statistics for 2000 part 1(24 KB) 30 Aug 2017 CIA Annual Statistics for 2000 part 2(22 KB) 30 Aug 2017 CIA Annual Statistics for 1999(36 KB) 30 Aug 2017 CIA Annual Statistics for 1998(28 KB) 30 Aug 2017 CIA Annual Statistics for 1997(28 KB) 30 Aug 2017 CIA Annual Statistics for 1996(44 KB) Miscellaneous 30 Aug 2017 Balloon Tracking Test Report 2001(734 KB) 30 Aug 2017 FAI Audience of Air Sports Presentation - 2000(2321 KB) 30 Aug 2017 CIA Question and Answer Session - 1999 Gordon Bennett(31 KB) 30 Aug 2017 CIA Question and Answer Session - Guidelines(21 KB) 30 Aug 2017 Questionnaire - 1999 Mobilux Cup(121 KB)